For example, when we work over a ring, the equation x^3=0 does not imply x^2=0 or x=0, but the vice versa is true. Can we use Mathematica to Simplify equations over a ring?
1 Answers
If you want to solve an equation over integer rings $\mathbb{Z}_n$ you should specify them with Modulus e.g.
Column[Solve[x^3 == 0, x, Modulus -> #] & /@ Range[2, 9]]

Edit
Since there was no further example of any expression to simplify over a finite ring let's define e.g. a polynomial which cannot be factorized over rationals (as Mathematica does by default)
p[x_] := x^5 + 3 x^4 + 6 x^3 - 2 x^2 + 1
Factor[p[x]]
p /@ Range[5]
1 - 2 x^2 + 6 x^3 + 3 x^4 + x^5 {9, 121, 631, 2145, 5701}
however over rings $\mathbb{Z}_n$ it is evaluated automatically with Mod[ p[x], n], (it has the Listable attribute), thus
Column[ Mod[p /@ Range[2, 10], #] & /@ Range[2, 10]]
{{{1, 1, 1, 1, 1, 1, 1, 1, 1}}, {{1, 1, 0, 1, 1, 0, 1, 1, 0}}, {{1, 3, 1, 1, 1, 3, 1, 1, 1}}, {{1, 1, 0, 1, 4, 1, 1, 0, 1}}, {{1, 1, 3, 1, 1, 3, 1, 1, 3}}, {{2, 1, 3, 3, 2, 1, 2, 2, 1}}, {{1, 7, 1, 5, 1, 3, 1, 1, 1}}, {{4, 1, 3, 4, 1, 6, 4, 1, 0}}, {{1, 1, 5, 1, 9, 1, 1, 5, 1}} }
On the other hand you can use PolynomialMod to "simplify" a polynomial over a ring $\mathbb{Z}_n$, e.g.
Column[ PolynomialMod[ p[x], #] & /@ Range[2, 6] ]
1 + x^4 + x^5 1 + x^2 + x^5 1 + 2 x^2 + 2 x^3 + 3 x^4 + x^5 1 + 3 x^2 + x^3 + 3 x^4 + x^5 1 + 4 x^2 + 3 x^4 + x^5
So to get the table Column[ Mod[p /@ Range[2, 10], #] & /@ Range[2, 10]] as above, you can Apply as well PolynomialMod on a specific level of an adequate Table, e.g.
Column[ Apply[ PolynomialMod[ p[#2], #1] &, Table[{i, j}, {i, 2, 10}, {j, 2, 10}], {2}] ] ===
Column[ Mod[ p /@ Range[2, 10], #] & /@ Range[2, 10]]
True
In case you'd like to factorize p[x] over a finite field (for n prime $\mathbb{Z}_n$ is a field) it can be done with Modulus as well, e.g.
Column[ Factor[ p[x], Modulus -> #] & /@ Prime @ Range[4]]

Some related details (e.g. Extension to work with polynomials and algebraic functions over rings of Rationals extended by selected algebraic numbers) you could find here.
Consider another polynomial
w[x_] := 6 - 12 x + x^2 - 2 x^3 - x^4 + 2 x^5
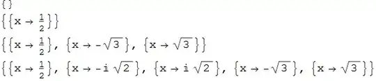
you can solve the equation w[x] == 0 over the field of Rationals as well (by default Mathematica solves over Complexes, and then you needn't specify the domain), e.g.
Column[ Solve[w[x] == 0, x, #] & /@ {Integers, Rationals, Reals, Complexes} ]

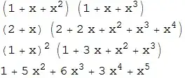
You could factorize completely this polynomial with Extension :
Factor[ w[x]]
Factor[ w[x], Extension -> {Sqrt[2], Sqrt[3], I}]

There is also a package AbstractAlgebra to work with adequate algebraic concepts and a related book Exploring Abstract Algebra with Mathematica.
Modulusis not capable to use withSimplifyorFullSimplify. I don't want to solve the equations, but just want to simplify the relations of equations. Any idea? – Osiris Xu Jun 20 '12 at 04:29Simplifyfirst and then useMod. If your expression is quite simple asx^3==0you needn't to use any simplifications e.g.Mod[x^3, 9] /. x -> 6yields0or directly evaluate(Mod[x^3, 9] /. x -> 6) == 0. Otherwise you should specify what you need giving an example. – Artes Jun 20 '12 at 09:30Rationals, see more details http://mathematica.stackexchange.com/questions/4362/factorizing-polynomials-over-fields-other-than-mathbbc/4372#4372. You can solve equations overRationals, e.g. trySolve[-(6/7) - 2 x + (3 x^2)/7 + x^3 == 0, x, Rationals]and thenSolve[-(6/7) - 2 x + (3 x^2)/7 + x^3 == 0, x]. – Artes Jun 20 '12 at 19:34