Let's say I have a sample formula, for example (Abs[x]/(-(2 - \[Kappa]) - 5))/(Binomial[a, b]/4) or something like that. I can of course typeset it to a limited degree and with not necessarily nice results:

It is so small that this x is barely distinguishable from this kappa, and I can't typeset Abs or Binomial.
So I use TraditionalForm and I get this:

This is certainly much nicer. But my formula got rearranged heavily. Yes, I have to admit it, it looks much prettier this way in that particular case (sometimes TraditionalForm actually makes formulae less clear), but this is not what I wanted to achieve. I wanted my formula to be displayed in LaTeX quality exactly as I typed it!
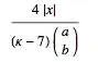
So I add a HoldForm just to get this:

Phew. And they call THIS a "held form".
I can get what I want if I also enter a HoldForm in the middle of the formula in the right place:

But in more complex examples I have to spam those HoldForms obnoxiously, which is annoying. Also having HoldForms in the middle of formulae can get annoying, since this will affect evaluation.
How to stop this rearranging? Isn't there anything like, say, TraditionalForm[StopRearranging[formula]]?











inputcell? None of this would happen if you were using one of the cell styles that are meant for that purpose, likeDisplayFormula. So you should perhaps clarify what you really want to do with the typed formulas eventually: i.e., use them only for display or do other calculations with them. – Jens Feb 13 '15 at 22:59Abs[x]and use CTRL+SHIFT+T, then highlightBinomial[a,b]and do the same. Highlight the whole formula and type CTRL+B to remove the bold style. Is this what you are after? (This will work if you use TraditionalForm as default Input method, otherwise you'll have to use Cell Display As... Traditional Form to convert it without touching it). – Peltio Feb 14 '15 at 03:27DisplayFormulacell. Right-clicked and selectedConvert to->TraditionalForm. The formula still got re-arranged. – gaazkam Feb 14 '15 at 14:07DisplayFormulaCell is already inTraditionalForm. You don't need to convert anything. – Jens Feb 14 '15 at 16:29Abs[x]? – gaazkam Feb 14 '15 at 19:04