I am trying to mimic the look of Wolfram|Alpha, which uses the Bitstream fonts Charter (for math and some text) and Vera Sans (for most text and things like units after numbers). Is there any automatic way to achieve this in a formatted notebook (where I am using inline math) without manual changing the font of each portion? For a better idea, take the following screenshot:

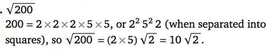
Fullform due to request:
\!\(TraditionalForm\`\(\*SqrtBox[\(200\)]\[LineSeparator]\n 200 = 2\\ 2\\ 2\\ 5\\ 5, \\ or\\ \*SuperscriptBox[\(2\), \(2\)]\\ \*SuperscriptBox[\(5\), \(2\)]\\ 2\\ \((when\\ separated\\ into\\ squares)\), \\ so\\ \*SqrtBox[\(200\)] = \(\((2\\ 5)\)\\ \*SqrtBox[\(2\)] = 10\\ \(\*SqrtBox[\(2\)]\(.\)\)\)\)\)
Is there a way to automatically render the text in Vera while keepin the math in Charter without having to manually format each piece?


FullFormof your screenshot to give advice – Mike Honeychurch Mar 16 '15 at 21:54Sqrt[200] 200=2 2 2 5 5,or 2^2 5^2 2 (when separated into squares),so \ Sqrt[200]=(2 5) Sqrt[2]=10 Sqrt[2].– Eric Mar 16 '15 at 21:58FullFormin the docs. IMO this is what is needed to know how to approach your problem – Mike Honeychurch Mar 16 '15 at 22:56FullForm, Mathematica crashes. O_o – Eric Mar 16 '15 at 23:11FullFormas Plain Text and see if it works. – Mr.Wizard Mar 16 '15 at 23:23FullForm. – Eric Mar 16 '15 at 23:27