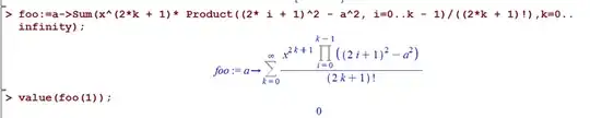
I have the following definition:
o[a_] := Sum[ x^(2 k + 1) Product[(2 i + 1)^2 - a^2, {i, 0,
k - 1}]/((2 k + 1)!), {k, 0, Infinity}]
Now when I evaluate
o[1]
(* 0 *)
Which I don't believe is correct. Also, changing the definition to
o[a_] := Sum[ x^(2 k + 1) Product[(2 i + 1)^2 - a^2, {i, 0,
k - 1}]/((2 k + 1)!), {k, 0, 1000}]
Or some other large number it does yield the correct result: $x$.
So am I overlooking something here and does this make sense, or is this a bug?
To be clear, here is my reasoning for why is should be $x$:
$$o(1)=\frac{x}{1!}\prod_{i=0}^{-1}((2i+1)^2-1)+\frac{x^3}{3!}\prod_{i=0}^{0}((2i+1)^2-1)+\frac{x^5}{5!}\prod_{i=0}^{1}((2i+1)^2-1)+....$$ And here the product in the first term is empty, so evaluates to $1$, and all other products have a factor $1^2-1=0$, so they all evaluate to $0$. So in total the result will just be $x$.
So is it fair to say this is a bug?

o[1]=0is correct (nice choice of function name btw ;). You have a product that starts ati=0and wheni=0anda=1you getProduct[1^2-1]for the first element, which is zero. Hence the whole product becomes zero, since zero times anything is zero. Then the sum of zeros is zero. – Nasser Mar 23 '15 at 11:14Product[(2 i + 1)^2 - 1^2, {i, 0, k - 1}]vs. specific numeric ones,Table[Product[(2 i + 1)^2 - 1^2, {i, 0, k - 1}], {k, 0, 3}]. – Michael E2 Mar 25 '15 at 03:15bugstag to new questions you posted. It is meant to be added later, after it is confirmed by the community. This is mentioned in the description of the tag. – Szabolcs Mar 26 '15 at 17:13Product[x, {x, 0, a}]evaluates to0a bug. – Szabolcs Mar 26 '15 at 17:15Product[x, {x, 0, a}, GenerateConditions -> True]to see howProducttreats a symbolic product (from the docs: "The upper product limit is assumed to be an integer distance from the lower limit"). – Michael E2 Mar 26 '15 at 18:14