[Edit notice: I'll put the gist up front.]
10 π is not wrong
With proper assumptions given, the integral evaluates as desired by the OP, to 6 π. Without them, it gives one of the correct values of the integral, 10 π, the one that in some sense is more likely, but without the correct conditions attached. (One may well argue that is a bug. However, Mathematica's exact solvers usually give only generically correct solutions. And beyond that, Integrate is a little looser than the others, and that is, I suspect, so that it can reach answers within a reasonable amount of time, when they can be reached at all. No doubt everyone wishes for more accurate and reliable algorithms.)
By default Mathematica's functions treat variables as complex numbers. These include functions called by Integrate. Clearly in the OP's call
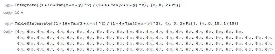
Integrate[(1 + 16 Tan[2 x - y]^2)/(1 + 4 Tan[2 x - y]^2), {x, 0, 2 π}]
the variable y should be treated as complex. What's less clear is whether in the line integral from x == 0 to x = 2 Pi, the variable x should be considered real. In fact, it need not be. Sometimes it can help to explicitly specify that x is real or even 0 < x < 2 Pi.
Integrate[(1 + 16 Tan[2 x - y]^2)/(1 + 4 Tan[2 x - y]^2),
{x, 0, 2 π}, Assumptions -> -(π/2) <= y <= π/2 && 0 < x < 2 Pi]
(* 6 π *)
In fact this result is valid only when Abs[Im[y]] < Log[3]/2. When Abs[Im[y]] > Log[3]/2, the integral is 10 π. (So on the basis of the length of the intervals, for most values of y the integral is 10 π.)
Interestingly this is one of those cases where Assuming and Assumptions give different results:
Assuming[-(π/2) <= y <= π/2 && 0 < x < 2 Pi,
Integrate[(1 + 16 Tan[2 x - y]^2)/(1 + 4 Tan[2 x - y]^2), {x, 0, 2 π}]]
(* 10 π *)
One can see the difference in the graph of the integrand. Just by estimating the the average height of the graph, one can see the results 6 π, 10 π are probably correct in their respective cases.
Manipulate[
Column[{
Plot[Evaluate@
Through[{Re, Im}[(1 + 16*Tan[2*x - y]^2)/(1 + 4*Tan[2*x - y]^2) /. y -> a + b I]],
{x, 0, 2 Pi}, AxesOrigin -> {0, 0},
PlotRange -> {-5, 10}, Filling -> Axis, ImageSize -> 225],
Chop[N@
NIntegrate[(1 + 16 Tan[2 x - y]^2)/(1 + 4 Tan[2 x - y]^2) /. y -> SetPrecision[a + b I, Infinity],
{x, 0, 2 π},
PrecisionGoal -> 10, WorkingPrecision -> 50,
MaxRecursion -> 16], 1*^-15]
}],
{a, 0, 3, Appearance -> "Labeled", ImageSize -> 200},
{b, -2, 2, Appearance -> "Labeled", ImageSize -> 200}]


Checking with NIntegrate
I get 10 Pi with y = I:
Block[{y = I},
N@NIntegrate[(1 + 16 Tan[2 x - y]^2)/(1 + 4 Tan[2 x - y]^2),
{x, 0, 2 π}, WorkingPrecision -> 25]]
% == 10 Pi
(*
31.4159 + 0. I
True
*)
Other times, I get 8 Pi:
Block[{y = 1 + I},
N@NIntegrate[(1 + 16 Tan[2 x - y]^2)/(1 + 4 Tan[2 x - y]^2),
{x, 0, I, 2 π}, WorkingPrecision -> 25]]
% == 8 Pi
(*
25.1327 + 0. I
True
*)
And sometimes I can even get 9 Pi:
Block[{y = 10},
N@NIntegrate[(1 + 16 Tan[2 x - y]^2)/(1 + 4 Tan[2 x - y]^2),
{x, 0, I, 2 π}, WorkingPrecision -> 25]]
% == 9 Pi
(*
28.2743 + 0. I
True
*)
However, this is interesting:
Integrate[(1 + 16 Tan[2 x - y]^2)/(1 + 4 Tan[2 x - y]^2),
{x, 0, y, 2 π}, Assumptions -> y ∈ Reals]
(* ConditionalExpression[(23 π)/3, y == π/2] *)
I think this is certainly wrong. NIntegrate gives 6 Pi for y = π/2.
yin your first expression? Because when I try it, I get aConditionalExpression[9 \[Pi], -(\[Pi]/2) <= y <= (7 \[Pi])/2]– dr.blochwave May 22 '15 at 11:08ConditionalExpression[9 π, -(π/2) <= y <= (7 π)/2]but I don't think that's right either. – Mr.Wizard May 22 '15 at 11:14Integrateon this site is a bit like adding a grain sand to beach. Still, as the OP notes, such "questions" have been welcomed here generally, although occasionally there really is a question about the result. – Michael E2 May 22 '15 at 15:56