I want to reduce all Cos[2 x] to 1 - 2Sin[x]^2, it seems Mathematica will always simplify 2 Sin[x]^2 to 1 Cos[2x], but how to do the reverse?
- 107,779
- 16
- 103
- 257
- 1,235
- 1
- 11
- 27
3 Answers
One way will be to add it to the definition of Cos by Unprotecting it.
Unprotect[Cos]
Cos[2 x] := 1 - 2 Sin[x]^2
Protect[Cos]
Then evaluating the following:
2 Cos[2 x] + 3 x Cos[2 x] + Tan[x] Sin[x] Cos[2 x] + Exp[Tan[Cos[2 x]]]
gives:

Which you can further Simplify if you so please. Notice that the desired replacement has occurred everywhere there's Cos[2x]
- 33,088
- 3
- 109
- 176
-
-
@Wizard That was a comment about the previous version. This version should work fine...although maybe a little heavy handed... – Simon Rochester Jul 25 '15 at 16:05
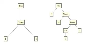
Expanding Cos[2 x] to 1 - Sin[x]^2 and simplifying are somewhat opposite procedures. Simplify basically reduces the leaf count (see How do I invoke the default complexity function? for more details). As we can see the number of leaves in the goal is twice the numbers of leaves in the starting expression:
LeafCount /@ {Cos[2 x], 1 - Sin[x]^2}
(* {4, 8} *)
TreeForm /@ {Cos[2 x], 1 - Sin[x]^2} // GraphicsRow

The basic built-in function for performing the sort transformation the OP desires is TrigExpand. But TrigExpand applies a different identity to Cos[2 x] than the desired one:
TrigExpand[Cos[2 x]]
(* Cos[x]^2 - Sin[x]^2 *)
This may be acceptable, since it is one of the three common forms of the double-angle identity. Generally, I try to figure out how Mathematica works and adapt my thinking to conform -- that is, I try to learn how to use the tool in the way it was designed to be used and to work with the tool and not against it. But Mathematica is a quite flexible tool, so if the identity in terms of Sin[x] only is desired, it is possible to use it.
One could replace Cos[x]^2 by 1 - Sin[x]^2 in the output of TrigExpand as suggested in a comment by Stefan R. One could also replace Cos[2 x] by 1 - Sin[x]^2 directly. This seems the simplest way.
Cos[2 x] /. {Cos[2 t_] :> 1 - 2 Sin[t]^2}
(* 1 - 2 Sin[x]^2 *)
In a complicated expression like RunnyKine's, the possible goals ramify. TrigExpand does a really bad job (image) as evaluated by a human-readable aesthetic. If we make the expression slightly more complicated with a Cos[4 x],
expr = 2 Cos[4 x] + 3 x Cos[2 x] + Tan[x] Sin[x] Cos[2 x] + Exp[Tan[Cos[2 x]]];
then is the goal to expand only Cos[2 x], like this?
expr /. {Cos[2 t_] :> 1 - 2 Sin[t]^2}
(*
E^Tan[1 - 2 Sin[x]^2] + 2 Cos[4 x] + <-- N.B. Cos[4 x]
3 x (1 - 2 Sin[x]^2) + Sin[x] (1 - 2 Sin[x]^2) Tan[x]
*)
Or should we expand all cosines with an even coefficient, like this?
expr //. (* <-- N.B. ReplaceRepeated *)
{Cos[a_Integer?EvenQ t_] :> 1 - 2 Sin[a t/2]^2}
(*
E^Tan[1 - 2 Sin[x]^2] + 3 x (1 - 2 Sin[x]^2) +
2 (1 - 2 Sin[2 x]^2) + <-- N.B. Sin[2 x]
Sin[x] (1 - 2 Sin[x]^2) Tan[x]
*)
Or maybe the goal is to convert all sines and cosines to terms of Sin[x], unless there are leftover terms of Cos[x], which can be done like this:
expr //.
{Cos[a_Integer?EvenQ t_] :> 1 - 2 Sin[a t/2]^2,
Sin[a_Integer?EvenQ t_] :> 2 Sin[a t/2] Cos[a t/2],
Cos[t_]^(p_Integer?EvenQ) :> (1 - Sin[t]^2)^(p/2)}
(*
E^Tan[1 - 2 Sin[x]^2] + 3 x (1 - 2 Sin[x]^2) +
2 (1 - 8 Sin[x]^2 (1 - Sin[x]^2)) + Sin[x] (1 - 2 Sin[x]^2) Tan[x]
*)
And what, if anything, to do about Tan[x]?
- 235,386
- 17
- 334
- 747
-
Thanks, in fact my expression is quite simple:
ds2=dr^2 + 1/2 (d\[Theta]^2 + 2 d\[Phi]^2) r^2 - 1/2 d\[Theta]^2 r^2 1 - 2 Sin[\[Phi]]^2, and I get what I want by your method,ds2/. {Cos[2 t_] :> 1 - 2 Sin[t]^2} // Simplify– van abel Jul 26 '15 at 03:21 -
1@vanabel You're welcome. Sometimes
Simplifywill convert the expression back to terms ofCos[2 x]and sometimes it will combine theSin[x]with other terms and not convert it. Trig. is tricky to deal with. BTW, I would not redefine a basic function likeCosin the way RunnyKine does. Since there are, I believe, many rules built into Mathematica about sine and cosine, I would be afraid the redefinition would break something. Just what that is would be difficult to predict. – Michael E2 Jul 26 '15 at 03:28
You could go ahead and modify the mathematica output manually by defining exactly what you want to have transformed. In your case this would look like this:
MakeBoxes[Cos[2*x_], StandardForm] := RowBox[{MakeBoxes[1 - 2 Sin[x]^2]}];
This effectively turns every occurrence of Cos[2x] in StandardForm into 1 - 2 Sin[x]^2. I use this to get a certain standard notation for dirac delta functions.
- 2,720
- 17
- 28
TrigExpand@Cos[2 x] /. Cos[a_]^2 :> (1 - Sin[a]^2)? – Stefan R Jul 24 '15 at 15:32Cos[2x]=1-2 Sin[x]^2– Wizard Jul 24 '15 at 18:07