if i have two columnar matrices A,B . then how can i merge both matrices into a row matrix.
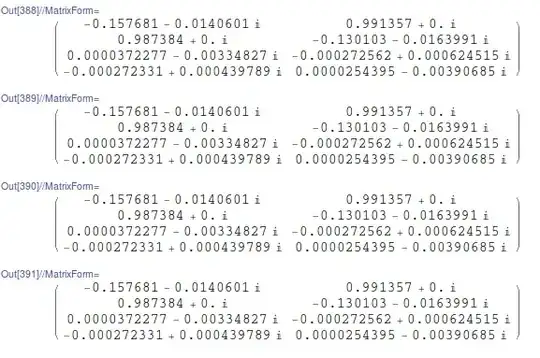
A = {-0.157681 - 0.0140601 I, 0.987384 + 0. I, 0.0000372277 - 0.00334827 I,-0.000272331 + 0.000439789 I} ;
B = {0.991357 + 0. I, -0.130103 - 0.0163991 I, -0.000272562 + 0.000624515 I, 0.0000254395 - 0.00390685 I } ;
Matrix = ( {{A, B}} )
i want to know how to remove the brackets inside the matrix. and i also want to know whether removing of these brackets effect the matrix.? Thanks in advance



Join[]? – J. M.'s missing motivation Nov 20 '15 at 14:31Transpose[Flatten/@{A,B}], and I'm sure we could come up with an infinite number of convoluted variations. But why do you not want to use the method J.M. gave? If you have a particular performance goal in mind you might get better answers. – N.J.Evans Nov 20 '15 at 14:50ArrayFlatten[{{A, B}}]andThread[Flatten /@ {A, B}]– Jason B. Nov 20 '15 at 14:52