Edit (6/14/14): I maintain that Peter Mueller's answer should be accepted, since he has essentially carried out the proof using Liouville's Theorem (mentioned below) to show that the integrand under question cannot be expressed in elementary functions. However, in addition to my previous unsuccessful attack, I thought I would also point to a full argument in the following source:
Bronstein, M. (1998). Symbolic integration tutorial. INRIA Sophia Antipolis ISSAC. Link.
as well as the author's self-cited:
(4) M. Bronstein. Symbolic Integration I – Transcendental Functions. Springer, Heidelberg, 1997. 2nd Ed., 2004.
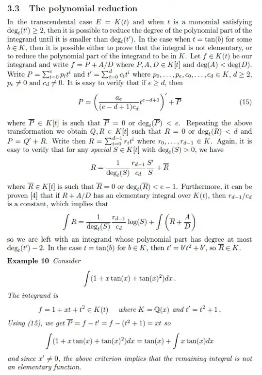
In particular, see Section 3.3. Here is an excerpt (see the paper for the definition of special):

Some thoughts on this antiderivative:
Attacking $\log(\cos x)$ using integration by parts, we find:
$$\int \log(\cos x) = x\log(\cos x) + \int x \tan x dx$$
So the question has now become: how do we find an antiderivative for log(cos x)?
Next, we observe that
$$\cos x = \frac{1}{2}(e^{ix} + e^{-ix}) = \frac{1}{2}e^{ix}(1 + e^{-2ix})$$
Taking the log of this, we end up with:
$$-\log 2 + ix + \log(1 + e^{-2ix})$$
Recall that we can write
$$\log(1 + y) = \sum_{k = 1}^{\infty} \frac{(-1)^{k+1}y^{k}}{k}$$
We can now apply this with $y = e^{-2ix}$ as above and integrate term by term.
Putting all these pieces together will give you a (nasty) way to integrate $x\tan x$.
As far as showing it's not integrable in elementary functions, I suspect your best bet would be an appeal to a theorem of Liouville. See, for example, this link.
All that said, perhaps you could ask your students some form of the following: show
$$\int x\tan^{2}x dx = x\tan x - \frac{x^2}{2} + \log(\cos x) + C$$
(You can find this latter, more tractable problem and its solution written out in nice detail here.)