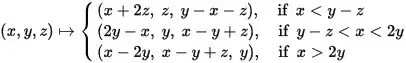
Zagier's has found a famous one sentence proof for Fermat's theorem on sums of two squares. It centers on the following involution of the set $S= \lbrace (x,y,z) \in N^3: x^2+4yz=p \rbrace $ having exactly one fixed point.
The author of this question as well as several other sources say, that this can easily been seen. Wikipedia states that the fixed point is $(1, 1, k)$. Now I perfectly understand that $(1, 1, k)$ always falls into the second case of the involution and returns $(1, 1, k)$ thus being a fixed point, but I completely fail to recognize that there is absolutely no possibility for another fixed point to exist.
I started out trying to find another (which might be very difficult), and came up with $(x, x, 1)$ but i did not find an example for which $(x, x, 1)$ is part of the given set of prime numbers. Still I don't see why it can't be possible that there is another fixed point for some $x$ I haven't found yet.
Can anyone show that to me?
