9

I am looking for explicit formulas for the four basic invariants $I_4, I_8, I_{12}, I_{18}$ of a generic binary quintic form, either given in the shape

$$\displaystyle F(x,y) = ax^5 + 5bx^4y + 10cx^3y^2 + 10dx^2y^3 + 5exy^4 + fy^5$$

or

$$\displaystyle F(x,y) = ax^5 + bx^4y + cx^3y^2 + dx^2y^3 + exy^4 + fy^5.$$

I. Dolgachev seems to have given exactly such formulas in his book "Lectures on Invariant Theory", but it appears that his formulas are not correct. For example, his claim that the discriminant of the binary quintic is given by the expression $I_4^2 - 128I_8$, with $I_4, I_8$ given on page 151, does not hold (checked with computer algebra). Further, his formula for $I_{18}$ on page 151 does not appear to be right either, since the formula is not invariant under the map $(a,b,c,d,e,f) \mapsto (f,e,d,c,b,a)$.

  • 2
    Just to make sure: do you really want the fully expanded formula as polynomials in $a,b,\ldots,f$ ? It is very easy to generate on Maple but if I remember correctly $I_{18}$ has 848 monomials. – Abdelmalek Abdesselam Dec 17 '17 at 08:44
  • 3
    Just checked the number of monomials for $I_4,I_8,I_{12},I_{18}$ are respectively: 12, 68, 228 and 848. Did you look at http://www.sciencedirect.com/science/article/pii/S0021869306000287 – Abdelmalek Abdesselam Dec 17 '17 at 08:52
  • @AbdelmalekAbdesselam I don't need the fully expanded version... in Dogalchev's book he gave for example $I_4 = (ae - 4bd + 3c^2)(bf - 4ce + 3d^2) - (af - 3be +2cd)^2$, with $F$ given by $ax^5 + 5bx^4y + 10cx^3y^2 + 10dx^2y^3 + 5exy^4 + fy^5$. I just need such expressions to work on a conjecture of mine. – Stanley Yao Xiao Dec 17 '17 at 13:58
  • Then my paper above has all the formulas you need. Did you look? The formula for $I_4$ you gave clearly comes, as in my paper, from the iterated transvectant $((F,F)_4,(F,F)_4)_2$, i.e., the discriminant of the binary quadratic obtained as the fourth transvectant of the form with itself (BTW related to the Schwarzian derivative). – Abdelmalek Abdesselam Dec 17 '17 at 16:43
  • @AbdelmalekAbdesselam You're right, your paper does seem to contain what I need. Thanks! – Stanley Yao Xiao Dec 17 '17 at 18:21

3 Answers3

11

Here's another way to do it that you might find useful:

Recall that $\mathrm{SL}(2,\mathbb{C})$ acts on the polynomial ring $\mathbb{C}[x,y]$ by linear substitution in $x$ and $y$, making the subspace $V_d\subset \mathbb{C}[x,y]$, consisting of polynomials homogeneous of degree $d$ in $x$ and $y$, into an irreducible $\mathrm{SL}(2,\mathbb{C})$-representation of dimension $d{+}1$.

Define a bilinear pairing $\langle,\rangle_p:\mathbb{C}[x,y]\times \mathbb{C}[x,y]\to\mathbb{C}[x,y]$ for $p\ge 0$ by the formula $$ \langle u,v\rangle_p = \frac1{p!}\sum_{k=0}^p (-1)^k{p\choose k} \frac{\partial^pu}{\partial x^{p-k}\partial y^k} \frac{\partial^pv}{\partial x^{k}\partial y^{p-k}}\,. $$ For example, $\langle u,v\rangle_0 = uv$ and $\langle u,v\rangle_1 = u_xv_y-u_yv_x$.

The bilinear pairings $\langle,\rangle_p$ are $\mathrm{SL}(2,\mathbb{C})$-equivariant, and they restrict to $\langle,\rangle_p: V_a\times V_b\to V_{a+b-2p}$ to be nonzero as long as $p\le\mathrm{min}(a,b)$.
These expressions $\langle u,v\rangle_p$ are called `transvectants' in the classical literature.

If $$u = u_{-5}\,x^5 + u_{-3}\,x^4y + u_{-1}\,x^3y^2 + u_{1}\,x^2y^3 + u_{3}\,xy^4 + u_5\,y^5\in V_5 $$ is a quintic, then it is not difficult to check that the quantities $$ I_4(u) = \langle u^2,u^2\rangle_{10},\quad I_8(u) = \langle u^4,u^4\rangle_{20},\quad\text{and}\quad I_{12}(u) = \langle u^6,u^6\rangle_{30} $$ are independent $\mathrm{SL}(2,\mathbb{C})$-invariant polynomials of degrees $4$, $8$, and $12$, respectively. The invariant polynomial $$ I_{18}(u) = \langle \langle u^5,u^6\rangle_{10},u^7\rangle_{35} $$ is nonzero, and, since $18$ is not a multiple of $4$, it is not expressible as a polynomial in $I_4(u)$, $I_8(u)$, and $I_{12}(u)$, though its square, which is of degree 36, can be written as a polynomial in these three lower-degree invariants. (It is, of course, a classical result that these four invariant polynomials generate the ring of $\mathrm{SL}(2,\mathbb{C})$-invariants on $V_5$ and that they are subject only to this single relation.)

These polynomials are not particularly nice when written out in terms of the coefficients $u_j$. For example, $I_4(u)$ is a sum of $12$ monomials, $I_8(u)$ is a sum of $71$ monomials, $I_{12}(u)$ is a sum of $252$ monomials, and $I_{18}(u)$ is a sum of $848$ monomials.

Finally, in this normalization, the discriminant of $u$ is a constant multiple of $$ I_8(u) - 92610\,I_4(u)^2, $$ which has only $59$ monomials when expanded in the $u_j$.

Robert Bryant
  • 106,220
  • Interesting. Though I didn't see these invariants in the classical literature. Of course $I_4$ and $I_18$ are unique up to scale but your $I_{8}$ and $I_{12}$ are different from ones used by Sylvester, Salmon, Elliott etc. – Abdelmalek Abdesselam Dec 18 '17 at 11:10
  • @AbdelmalekAbdesselam: That's not surprising because the space of invariant polynomials of degree 8 has dimension 2 and the space of invariant polynomials of degree 12 has dimension 3, so there's considerable room for choosing different generators. It appears that the multiples of the discriminant are the elements of degree 8 that have the least number of monomials in the 'standard' basis, namely, 59. It might be interesting to know whether your $I_{12}$ has the least number of monomials among the degree 12 elements that are not linear combinations of $I_8I_4$ and ${I_4}^3$. – Robert Bryant Dec 18 '17 at 12:44
  • Well $I_{12}$ is not exactly mine (Sylvester's?) but it has another more geometric description as the discriminant of the cubic given by the canonisant of the quintic. So it is special in a sense. It is nonzero when the quintic is a sum of three fifth powers of projectively distinct linear forms. – Abdelmalek Abdesselam Dec 18 '17 at 14:07
3

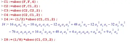
For completeness, here are the gory explicit expansions for the invariants. Here ${\rm ubsc}(F,G,k)$ means the $k$-th transvectant $(F,G)_k$ of the forms $F$ and $G$. The definitions and numerical normalizations (different from those in Robert's answer) are as in my article "A computational solution to a question by Beauville on the invariants of the binary quintic" in J. Algebra 2006. The Maple computations were performed using a routine by J. Chipalaktti for calculating transvectants. The quintic is written in the form $$ F=a_0\ x_1^5+5a_1\ x_1^4 x_2+10a_2\ x_1^3x_2^2+10a_3\ x_1^2x_2^3+5a_4\ x_1x_2^4+a_5\ x_2^5\ . $$

enter image description here enter image description here enter image description here enter image description here enter image description here enter image description here enter image description here enter image description here enter image description here enter image description here enter image description here enter image description here enter image description here enter image description here enter image description here enter image description here enter image description here

0

See the preprint The MAPLE package for SL2-invariants and kernel of Weitzenböck derivations

Leox
  • 546