28

The convention that $\sin^2 x = (\sin x)^2$, while in general $f^2(x) = f(f(x))$, is often called illogical, but it does not lead to conflicts because nobody uses $\sin(\sin x)$.

But is this really true? Or is there a real-world application in which $\sin(\sin x)$ occurs? Or maybe something a bit more general, like $\sin(C \sin x)$ for some constant $C \neq 0$?

Denis Serre
  • 51,599
  • 28
    Bessel functions are expressed as integrals of this form, for example $\int_0^\pi \cos(\cos x)dx=\pi J_0(1);$ I would actually never use the notation $f^2(x)$ for $f(f(x))$, it is too confusing. – Carlo Beenakker Feb 01 '21 at 18:27
  • 1
    The Bessel function would qualify as an answer, I think. On the other hand, while $f^2$ is used not very often, $f^n$ is quite common. –  Feb 01 '21 at 18:31
  • 8
    It is well known that if $x > 0$ is very small, then $\sin(x) \approx x$. Therefore, if you have any formula involving $\sin(x)$ and you can assume $x$ is very small, then you can replace $\sin(x)$ with $\sin(\sin(x))$ in your formula. :) (Sorry, I couldn't help myself -- but in all seriousness, welcome to MathOverflow.) – Will Brian Feb 01 '21 at 18:38
  • 1
    If $x$ is small, $\sin x$ is smaller. Why not keep going? :) – Geoffrey Irving Feb 01 '21 at 19:33
  • 13
    I'm not sure whether this really counts, but if you consider $\sinh(\sinh(x)) = -i\sin(\sin(i x))$ instead, you get the exponential generating function for set partitions with an odd number of parts, each of which has odd cardinality. – Martin Rubey Feb 01 '21 at 20:20
  • 2
    @MartinRubey I would accept it. –  Feb 01 '21 at 20:23
  • 5
    Curiously, $\sin(\sin(x))$ also satisfies a very nice differential equation: $\left(f(x)^2-1\right)^2 \left(f'''(x) + f'(x)\right) - 3 \left(f(x)^2-1\right) f(x) f'(x) f''(x) + \left(2f(x)^2+1\right) f'(x)^3 = 0$ – Martin Rubey Feb 01 '21 at 20:24
  • 1
    @MartinRubey I am pretty sure you can contribute a very nice answer with your stuff! – მამუკა ჯიბლაძე Feb 01 '21 at 20:43
  • 6
    @CarloBeenakker If one works in discrete dynamics, it's completely standard for $f^n$ to denote the $n$th iterate. Sometimes people use $f^{\circ n}$ to avoid ambiguity, but in a paper that all about iteration, it really is very convenient to use exponentiaion. Further, if one views the set of functions $X\to X$ as a semi-group, then the $n$th power of an element is most naturally the $n$th iterate; indeed, "squaring" in any other way doesn't really make sense unless the set $X$ has a multiplication map. :) – Joe Silverman Feb 01 '21 at 21:37
  • 8
    As a side comment, people still use the notation $\log^2 x$ even though $\log \log x$ arises frequently. So even if $\sin \sin x$ somehow becomes common, I expect that the notation $\sin^2 x$ will continue to be used. – Timothy Chow Feb 01 '21 at 23:23
  • $\sin^{\circ 2}x$ does the job perfectly. – Sylvain JULIEN Feb 02 '21 at 11:00
  • 2
    @CarloBeenakker What notation would you use for $f(f(....f(x)...))$ ($n$ times)? (I don't ask in a dismissive way.) One option I guess, is to add a remark about the notation when necessary, as suggested by Pietro Majer. – Yaakov Baruch Feb 02 '21 at 12:21
  • 1
    @YaakovBaruch --- if the function would be an operator $O$, as in quantum physics, I would indeed write $O^n$ for the repeated application of the operator, just like for a matrix $M$ the notation $M^n$ is unambigous; if instead the function is written with an argument $f(x)$, then some other notation would be preferred: $f^{\circ n}(x)$, or $f^{[n]}(x)$, or perhaps the notation I added as an answer.... – Carlo Beenakker Feb 02 '21 at 12:34
  • 2
    @TimothyChow In analytic number theory, where iterated logs and powers of logs come up all the time, it gets confusing. For example, the best known lower bound for Lehmer's problem on heights of algebraic numbers is $$CD^{-1}\left(\frac{\log\log D}{\log D}\right)^3.$$ So if we use power notation for the $\log\log$, it woiuld look like $$CD^{-1}\frac{(\log^2 D)^3}{(\log D)^3}.$$ – Joe Silverman Feb 02 '21 at 23:42
  • 1
    @JoeSilverman Ha! Good one! I suppose that using standard notation, one could write $$CD^{-1},\frac{\log^3 \log D}{\log^3 D}$$ but that would be kind of confusing. – Timothy Chow Feb 03 '21 at 04:15
  • Usually the notation I see for exponents representing iterated composites is $\sin^{(2)}(x) = \sin( \sin(x) )$, i.e. there are some form of additional bracket. – Ryan Budney Aug 25 '21 at 21:46

8 Answers8

57

The intensity of light diffracted at a slit as a function of the angle actually involves a term $\sin\left(\frac{\alpha\beta}{2}\sin(\theta)\right)$, see

https://en.wikipedia.org/wiki/Fraunhofer_diffraction

(I'm no physicist at all, but this has been stuck in my head since high school just because it is such an unusual term to encounter naturally)

Achim Krause
  • 8,624
27

Since $\sinh(x) = i\sin(i x)$ is the odd part of the exponential function, we can interpret it (for example within the framework of combinatorial species) as the (exponential) generating function for sets of odd size.

Thus, $\sinh(\sinh(x)) = -i\sin(\sin(ix))$ is the (exponential) generating function for set partitions with an odd number of parts, each of which has odd cardinality.

We can slightly refine this by interpreting $\sin(\omega\sin(x))$ as the generating function of a weighted species, giving each set partition the weight $(-1)^{n-1} w^b$, where $b$ is the number of blocks and $n$ is the size of the ground set.

Similarly, $\cosh(\sinh(x))$ is the generating function for set partitions with an even number of parts, all of which are of odd cardinality, and $\cosh(\cosh(x)-1)$ is the generating function for set partitions with an even number of (nonempty) parts, all of which are of even cardinality. Note however, that the coefficients of $\cos(\cos(x)-1)$ and $\cosh(\cosh(x)-1)$ are very different, whereas the coefficients of $\sin(\sin(x))$ and $\sinh(\sinh(x))$ only differ in sign.

As an aside, $\sin(\sin(\cdot))$ satisfies a nice differential equation: $$ (f^2-1)^2 (f''' + f') - 3 (f^2-1) f f' f'' + (2f^2+1) f'^3 = 0 $$ while $\sinh(\sinh(\cdot))$ satisfies: $$ (f^2+1)^2 (f''' - f') - 3 (f^2+1) f f' f'' + (2f^2-1) f'^3 = 0 $$

Martin Rubey
  • 5,563
  • 8
    For $\sin(\sin(\cdot))$ there is also the 2d-order equation $$(f'' - f '' f^2 + f f'^2)^2 - (1 - f^2 - f'^2) (1 - f^2)^2=0$$ which may or may not be nice. Do you know any of the other solutions for any of these equations? –  Feb 02 '21 at 15:05
  • 1
    How did you find this beautiful equation? (I missed it, because my program looks for smaller powers first) No, I don't know of any solutions. It is very interesting that in this case, throwing away the zero coefficients makes the equation harder to find. – Martin Rubey Feb 02 '21 at 16:10
  • 3
    My process was to: 1) write down the formulas for $f, f’, f’’$, 2) define $\cos(x)^2$ in terms of $f$ and $f’$, 3) express $f’’$ in terms of $f$ and this expression for $\cos (x)^2$, 4) simplify –  Feb 02 '21 at 17:30
26

People in complex dynamics consider the behavior of all sorts of functions under iteration. For example, here is the Julia set of $\sin(z)$.

enter image description here

In that context, it makes perfect sense to talk about $\sin(\sin(\cdots \sin(z)))$.

David E Speyer
  • 150,821
23

A frequency-modulated (FM) signal (like those used in FM radio), with a sinusoidal input, can be represented as

$$x_\mathrm{c}(t) = A\cos(\omega_\mathrm{c}t+\beta\sin \omega_\mathrm{m}t), \tag{1}$$

where $\omega_\mathrm{c}=2\pi f_\mathrm{c}$ is the carrier angular frequency (e.g. $f_\mathrm{c}$ ranges from 87.5 MHz to 108 MHz for the FM radio), $\omega_\mathrm{m}$ is the modulating angular frequency (e.g. that of an audio tone) and $\beta$ is the modulation index (a normalized measure of the intensity of the modulating signal).

If you decompose (1) with the usual trigonometric identity for the sum of angles you get the term $\sin(\beta\sin \omega_\mathrm{m}t)$. This decomposition can be expanded in a Fourier series with coefficients generated by Bessel functions, thus obtaining the spectrum associated to the FM signal.

  • It might be fun to interpret this combinatorially. Essentially, set partitions with an even number of blocks, each of which has odd cardinality, and there are singleton blocks of two kinds. – Martin Rubey Feb 02 '21 at 09:31
  • @MartinRubey, of what is that a combinatorial expansion? The function $x_c$? The coefficients in a Fourier series? Something else? – LSpice Aug 25 '21 at 22:45
  • 1
    Up to sign, it should be the expansion of $x_c$. The cosine is (up to sign) the exponential generating function for sets with an even number of ellements. The sine is (up to sign) the exponential generating function for sets with an odd number of elements. Thus, the composition is the generating function for set partitions with an even number of blocks, all of which have odd cardinality. – Martin Rubey Aug 26 '21 at 06:54
  • 1
    For example, $[t^4] \cos(\sin(t)) = 5/4!$. The set partitions are $\left[{{1, 2, 3}, {4}}, {{1, 2, 4}, {3}}, {{1, 3, 4}, {2}}, {{1}, {2, 3, 4}}, {{1}, {2}, {3}, {4}}\right]$. – Martin Rubey Aug 26 '21 at 06:56
  • 1
    Adding $t$ amounts to colouring singletons with two colours. For example, $[t^4] \cos(t+\sin(t)) = 24/4!$. The first four of the set partitions above come in two kinds, the final one having all singleton blocks comes in 16 kinds, and indeed $24 = 2\cdot 4 + 16\cdot 1$. – Martin Rubey Aug 26 '21 at 07:02
17

I think Carlo Beenakker's comment deserves to be upgraded to an answer:

Bessel functions have integral representations involving such iterates of trigonometric functions. For example, $$ \int_0^1\sin(x\sin(\pi t))dt=\mathbf{H}_0(x) $$ is the zeroth Struve function, one in the crowded family of various Bessel and Bessel-like functions.

  • 9
    I agree that this should be promoted to an answer, but Carlo only left that comment 1 hour ago and he hasn't been online since an hour ago to see the comment back by the OP saying it is an answer. I think it is important that we leave original commenters a reasonable amount of time to convert their comments to answers, and 1 hour when the commenter is offline seems short. – Alec Rhea Feb 01 '21 at 19:58
  • 2
    @AlecRhea As soon as I deleted it, he responded with "please feel free to undelete your answer", which I did. And it is a cw, so... – მამუკა ჯიბლაძე Feb 02 '21 at 23:21
  • 1
    Now that he’s requested it I have no qualms with this, and I never meant to imply you were trying to get rep or anything, apologies if it came across that way. I’m just someone who regularly leaves for hours between interacting with a post, so I’d like the general precedent to be for us to allow some time for conversion to answers. – Alec Rhea Feb 02 '21 at 23:24
  • 4
    @AlecRhea No need to apologize, you were absolutely right, and I am glad to have closed it and reopened only after his OK – მამუკა ჯიბლაძე Feb 02 '21 at 23:30
15

The characteristic function for the Poisson distribution is given by

$$ e^{\lambda\left(e^{i\theta}-1\right)}=e^{\lambda\left(\cos\theta-1\right)}\left(\cos(\lambda\sin\theta)+i\sin(\lambda\sin\theta)\right) $$

7

Just another cw, in way of an illustration: level plot for modulus and argument of $\sin(\sin(z))$ in the complex plane

enter image description here

(Thanks to Michael E2 from Mathematica.SE for helping out with the plot)

6

Valerii Salov, in Notation for Iteration of Functions, Iteral, has written a 23 page (!) paper on how to denote the iteration of a function, specifically for the issue raised by the OP in Inevitable Dottie Number. Iterals of cosine and sine.

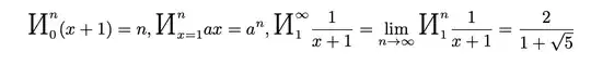
The notation proposed by Salov uses the first Cyrillic letter И of the Russian word Итерация for iteration, as a variation on the product symbol $\prod$, so that И$_v^n f$ is the n-fold iteration of the function $f(x)$ for initial value $x=v$.

Some examples of the use of this compact notation:

enter image description here

This can be typeset in MathJax as a LARGE version of Unicode character 1048:

$$\large{ {\LARGE\unicode{1048}}_0^n(x+1)=n,\ {\LARGE\unicode{1048}}_{x=1}^n ax=a^n,\ {\LARGE\unicode{1048}}_{1}^\infty \frac{1}{x+1}=\lim_{n\to\infty} {\LARGE\unicode{1048}}_{1}^n \frac{1}{x+1}=\frac{2}{1+\sqrt{5}} }$$

Carlo Beenakker
  • 177,695
  • http://detexify.kirelabs.org/classify.html does not show this symbol. – Yaakov Baruch Feb 02 '21 at 12:43
  • 2
    we should start a petition to add И to the LaTeX code base as an operator primitive like $\prod$. – Carlo Beenakker Feb 02 '21 at 12:44
  • See §6 in the documentation for the amsfonts package how to get cyrillic letters. – Emil Jeřábek Feb 02 '21 at 12:45
  • true, but just like $\prod$ is not quite a capital letter pi (the bevavior with sub/superscripts is different, the spacing is different), so the iteral symbol should not simply be the cyrillic letter И. – Carlo Beenakker Feb 02 '21 at 12:46
  • 5
    Use \mathop to get the correct behaviour. The following definition of \iter seems about right for a 10pt document, but you can adjust the sizes to your liking: \input cyracc.def \font\fourtncyr=wncyr10 scaled \magstep2 \font\twelvcyr=wncyr10 scaled \magstep1 \font\tencyr=wncyr10 \font\sevencyr=wncyr7 \def\iter{\mathop{\mathchoice{\doiter\fourtncyr}{\doiter\twelvcyr}{\doiter\tencyr}{\doiter\sevencyr}}} \def\doiter#1{\vcenter{\hbox{#1\cyracc I}}}. Remove the \vcenter if you prefer the symbol to sit on the text baseline, as in the example image. – Emil Jeřábek Feb 02 '21 at 14:35
  • 1
    I see that in Salov’s paper, sub/superscripts are written at the side even in display style. Put \nolimits at the end of the definition of \iter if you want that. – Emil Jeřábek Feb 02 '21 at 14:46
  • 1
    Would something like $V!\text{I}_{n=1}^{10}\frac{1}{x+n}$ be defined, given that unlike $\sum$ and $\prod$, this new symbol is not commutative? A quick scroll through the 23 page paper did not answer that. – Yaakov Baruch Feb 02 '21 at 17:11
  • 3
    $\text{И}{1}^n x=1$. $\mathop{И}{1}^n x=1$. the first is \text{И}{1}^n, the second \mathop{И}{1}^n – Fedor Petrov Feb 02 '21 at 20:47
  • 1
    I find it unusual that this notation is set up to work with $f(x)$ rather than $f$. I use the notations (for a computer science class) for the last few mentioned functions $+_1$, $\times_a$, and $\Box^{-1}\circ+_1$ – JP McCarthy Feb 02 '21 at 23:44
  • 3
    It seems very rare that there's much need to iterate formulae rather than 'functions'; the notations $f^{(2)}()$ or (if there's any concern about multiple derivatives) $f^{\circ 2}()$ are common enough that I'm hard-pressed to see the need for a notation like this. – Steven Stadnicki Aug 25 '21 at 21:44
  • I had no idea about this capacity for abusing MathJax. What wonderful new vistas it opens! – LSpice Aug 25 '21 at 22:44