Empress Elisabeth of Austria did maths .
She is famous for this integral :
$$\int_{0}^{\pi}Si(x)Si(x)dx$$
$\exists x>0$ then we have :
$$\frac{\pi^{2}}{6}=1+f\left(1\right)-\sum_{n=1}^{\infty}n!\left(f\left(x\right)-f\left(1\right)\right)^{n}$$
Where : $$f\left(x\right)=\tanh\left(h\left(h\left(x\right)\right)\right),h\left(x\right)=\operatorname{erf}\left(x\right)$$
The late problem is related to the Cauchy's proof with the inequalities :
$$\frac{\pi^{2}}{6}\left(\frac{2m}{2m+1}\right)\left(\frac{2m-1}{2m+1}\right)<\sum_{n=1}^{m}\frac{1}{n^{2}}<\frac{\pi^{2}}{6}\left(\frac{2m}{2m+1}\right)\left(\frac{2m+2}{2m+1}\right)$$
if we replace by a plus in the late problem as :
$$\frac{\pi^{2}}{6}=1+f\left(1\right)+\sum_{n=1}^{\infty}n!\left(f\left(x\right)-f\left(1\right)\right)^{n}$$
Then $\exists y$ such that :
$f(y)=0$ and $0=h\left(\frac{\pi^2}{6}-1\right)$
Where $h$ is obtained using the Lagrange's theorem (inversion) for example in the case $n=10$ we have :
Where
$f\left(x\right)=\tanh\left(\operatorname{erf}\left(\operatorname{erf}\left(x\right)\right)\right)$
Then on the polynomial $g$ we can invert it to get $h$ in the case $n=10$ wich is an approximation .
Then it implies Bell polynomials and see also https://cs.uwaterloo.ca/journals/JIS/VOL15/Mezo/mezo14.pdf
Now a conjecture for $y\geq 1$:
$$e^{y}=^?\lim_{x \to 0}\left(\left|1-\frac{y-1+x!}{1-\frac{1}{1-x!x!!x!!!x!!!!x!!!!!\cdot\cdot\cdot}}\right|\right)^{\frac{1}{x}}$$
Where $(x!)!=\Gamma(\Gamma(x+1)+1)$ and so on
See also https://en.wikipedia.org/wiki/Four_exponentials_conjecture
Stronger form found 20/10/2022 :
Let $x\geq 1$ :
$$\sqrt{2\pi x}e^{\frac{1}{12x}}\left(\frac{x}{e}\right)^{x}\tanh\left(\ln\left(12x\ln^{2}\left(x\right)+1\right)\right)<x!$$
We can strenghened this and it seems we have for $x\geq 1$ :
$$f\left(x\right)=\frac{\sqrt{2\pi x}\left(\frac{x}{e}\right)^{x}e^{\frac{1}{12x}}\tanh\left(\ln\left(12x\ln^{2}\left(x\right)+1+x+\ln\left(x\right)+\sqrt{x}+\sum_{n=1}^{10}2^{2+n}\left(x^{\frac{1}{2^{n}}}-1\right)\right)\right)}{x!}<x!$$
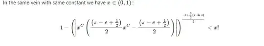
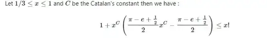
For $1\leq x\leq 8$ $\exists C>0$ such that :
$$f\left(x\right)=\sqrt{2\pi x}\left(\frac{x}{e}\right)^{x}e^{\frac{1}{12x}}\tanh\left(\ln\left(12x\ln^{2}\left(x\right)+1+x+\ln\left(x\right)+x+C\left(\sum_{n=1}^{100}n2^{\left(n-\frac{\ln^{2}\left(n\right)}{2}\right)}\left(x^{\frac{1}{2^{n}}}-1\right)\right)\right)\right)-x!<0$$
Correction the integral with power tower seems equal to : $$\frac{1+\pi}{10}$$



