I've to compute this expression
$$ \hat{H} ~=~\frac{1}{4}g_2\int d^3R\int d^3r\ \bar{\Psi}(\vec{R}+\frac{\vec{r}}{2})\bar{\Psi}(\vec{R}-\frac{\vec{r}}{2}) $$$$ \times \left[ \delta(\vec{r})\nabla_{\vec{r}}^2 +\nabla_{\vec{r}}^2\delta(\vec{r}) \right]\Psi(\vec{R}+\frac{\vec{r}}{2}) \Psi(\vec{R}-\frac{\vec{r}}{2}), \tag{15} $$
where $\bar{\Psi}$ is the conjugate of $\Psi$.
Using Dirac delta properties, Can I say that
$$\left[ \delta(\vec{r})\nabla_{\vec{r}}^2 +\nabla_{\vec{r}}^2\delta(\vec{r}) \right] = 2 \delta(\vec{r})\nabla_{\vec{r}}^2~? $$
If not, how can I calculate this integral?
I should obtain $$ \hat{H} = \frac{1}{4}g_2\int d^3R\ \bar{\Psi}(\vec{R})\left[ \nabla^2(\bar{\Psi}(\vec{R})\ \Psi(\vec{R}))\right]\Psi(\vec{R}). \tag{16} $$ A method should be expanding $\Phi = V^{-1/2} \sum_\alpha a_\alpha e^{i\textbf{k}_\alpha\cdot\textbf{r}}$, but I don't have any idea what doing!
This integrals (15) comes from the paper Phys. Rev. A 67 053612 and authors say they do integration for part and then over $\textbf{r}$.
Does anyone have ideas how to calculate this integral?
/// Update ///
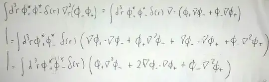
I tried to calculate the integral using yours suggestions. I'm near the solution! At the last there is an extra term and an extra $1/2$. In the followed images, the conjugate is $\phi^*$ and I indicate $\phi_+ = \Psi(\vec{R}+\frac{\vec{r}}{2})$ and $\phi_- = \Psi(\vec{R}-\frac{\vec{r}}{2})$
Summing,
$$ \int d^3\vec{R}\int d^3\vec{r}\nabla^2_{\vec{r}}\left( \phi_+^* \phi^*_-\phi_-\phi_+ \right)\delta(\vec{r}) $$
and then, at the last $$ \int d^3\vec{R}\ \frac{1}{2}(\phi^*\phi(\phi\nabla^2\phi^*+\phi^*\nabla^2\phi) - \phi^2|\nabla\phi^*|^2-\phi^{*2}|\nabla\phi|^2) $$ and completing it by adding and subtracting $2\phi\phi^*\nabla\phi^*\cdot\nabla\phi$
$$ \int d^3\vec{R}\ \frac{1}{2}\phi^*\left( \nabla^2(\phi^*\phi)\right)\phi - \int d^3\vec{R}\ \frac{1}{2} (\nabla(\phi\phi^*))^2 $$ I did all calculations by hand and then i checked them with mathematica.
is the term $\int d^3\vec{R}\ (\nabla(\phi\phi^*))^2 = 0$ for any reasons? I hope yes.
Why is there the constant $1/2$?

