This is a fun question. I have a hard time getting a good grip on the transformation that is $ln$ so I'll write things in terms of exponents.
$$\mathrm{value} = \ln(10\ \mathrm{ km})$$
$$e^{\mathrm{value}} = 10\ \mathrm{ km}$$
The number $e$ is, of course, unit-less. If I raise a number to a power, what are the permissible units of the power? If I write $x^2$, I have an intuitive assumption that $2$ has no units, because it is just a count used to express $x \times x = x^2$.
Thus, I have convinced myself of Carl's answer, and I would require a logarithm to have a reference to make sense. For example:
$$e^{\mathrm{value}} = \frac{ 10\ \mathrm{ km} }{1\ \mathrm{ km}}$$
The previous alternative of $e$ raised to a power equaling a physical quantity with real units seems like the perfect example of something that is nonsensical.
log plots
I have another question that stemmed from your question and I will try to answer it here. I specifically remember taking the derivative of log-log and linear-log plots in engineering classes. We had some justification for that, but it would appear to be nonsensical on the surface, so let's dive in. Here is an example of a log-log plot. I'll show the graph and then offer an equation of the line that is being represented.

Image source: Wikipedia
I'll start writing things from the basic $y=mx+b$ form, then change things as necessary. Since I'm using an arbitrary constant, I'll fudge it whenever necessary.
$$\log(p) = a \log(m) + b = a ( \log(m) + b' ) = a \log( b'' m ) = \log( b''^a m^a ) = \log\bigg( \frac{p_0}{m_0^a} m^a \bigg) $$
$$p = p_0 \left( \frac{m}{m_0} \right)^a$$
Like magic, a recognizable form comes through. Observing a linear relation in a log-log plot really means you're observing a power fit, not a linear fit. A student may still ask "but what are a and b", which is a bit more difficult. Firstly, I did no manipulation of $a$, so you can take the meaning directly from the final form, which is to say it's an exponent and thus unitless. For b:
$$b = a b' = a \log(b'') = a \log\bigg( \frac{p_0^{1/a}}{m_0} \bigg) = \log\left( \frac{p_0}{m_0^a} \right) $$
This shows that $b$ is also unitless, but it also gives interpretation to $p_0$, which is the reference y-value at some reference x-value ($m_0$). I'll move on to linear-log plot, or a semi-log scale.

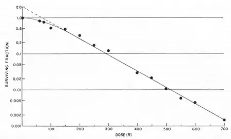
Image source: J. Exp. Med. 103, 653 (1956).
I'll denote $f$ for "surviving fraction" and $d$ for dose. The equation for a regression that appears linear on the above plot will be the following.
$$\log(f) = a d + b$$
$$f = e^{a d + b} = e^b e^{a d} = f_0 e^{a d}$$
It's important to note here that $b$ had dubious units all along, just like in the log-log case, but it doesn't really matter because a more useful form comes out of the mathematics naturally. The value $f_0$ would be the baseline value (100% in this case) at $d=0$.
Summary: assuming a linear relation in log plots really makes the assumption that the actual relation follows some nonlinear form, and the units will work out once you do the mathematics, but the interpretation of the values may be nontrivial.