From Wiki and from physics fundamentals lections I received info that pressure is scalar value. But in definition you have relation between projections of two vector values to normal axe-force and surface area with normal orientation. Are you interesting only in absolute values of this two vectors? (if so then the pressure is always positive.)
Can pressure be negative?
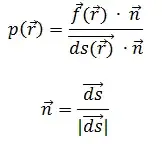
I don't want to discuss the averaged model of the pressure compare to tension elastic model. At current moment from the post answers and comments I realized that pressure scalar field can be defined so:

$f$ is support force to support equilibrium in $ds$ surface under other molecules attack. pressure scalar value in some circumstances can be negative. If smth. was wrong here please let me know!