4

Is there a way to understand where the 7-10 Rule of Thumb for nuclear radiation comes from? A seven fold increase in time after explosion results in a 10 fold reduction in exposure rate.

From a FEMA page on responding to "nuclear threats":

From the exposure rate determined by a survey instrument, future exposure rates may be predicted from a basic rule known as the "7:10 Rule of Thumb."

The 7:10 Rule of Thumb states that for every 7-fold increase in time after detonation, there is a 10-fold decrease in the exposure rate. In other words, when the amount of time is multiplied by 7, the exposure rate is divided by 10. For example, let's say that 2 hours after detonation the exposure rate is 400 R/hr. After 14 hours, the exposure rate will be 1/10 as much, or 40 R/hr.

The exposure rate must be expressed in the same unit as the time increase. For example, if the time increase is expressed in hours, the exposure rate must be expressed as the radiation exposure per hour.

rob
  • 89,569
BMS
  • 11,493
  • The last paragraph of the FEMA quote is absurd. How could dividing by ten yield correct results in one unit system and incorrect results in another? I get the feeling the person writing the FEMA page wasn’t a quantitatively educated person and got paranoid that the units might need to match and just threw in the warning just in case... – Duncan Harris Mar 27 '19 at 03:00

6 Answers6

7

The relevant Wikipedia page gives as a source for this rule a 1987 book by Cresson Kearny on surviving nuclear war. The seven-ten rule (not so named in the text) is described in the first chapter:

Fortunately for all living things, the danger from fallout radiation lessens with time. The radioactive decay, as this lessening is called, is rapid at first, then gets slower and slower. The dose rate (the amount of radiation received per hour) decreases accordingly. Figure 1.2 illustrates the rapidity of the decay of radiation from fallout during the first two days after the nuclear explosion that produced it. R stands for roentgen, a measurement unit often used to measure exposure to gamma rays and X rays. Fallout meters called dosimeters measure the dose received by recording the number of R. Fallout meters called survey meters, or dose-rate meters, measure the dose rate by recording the number of R being received per hour at the time of measurement. Notice that it takes about seven times as long for the dose rate to decay from 1000 roentgens per hour (1000 R/hr) to 10 R/hr (48 hours) as to decay from 1000 R/hr to 100 R/hr (7 hours). (Only in high-fallout areas would the dose rate 1 hour after the explosion be as high as 1000 roentgens per hour.)

figure 1.2

Fig. 1.2. Decay of the dose rate of radiation from fallout, from the time of the explosion, not from the time of fallout deposition. ORNL.DWG 78-265

If the dose rate 1 hour after an explosion is 1000 R/hr, it would take about 2 weeks for the dose rate to be reduced to 1 R/hr solely as a result of radioactive decay. Weathering effects will reduce the dose rate further,' for example, rain can wash fallout particles from plants and houses to lower positions on or closer to the ground. Surrounding objects would reduce the radiation dose from these low-lying particles.

This is not an exponential decay. If you're looking at a single isotope whose activity falls by a factor of ten in seven days, it'll fall by another factor of ten in the next seven days --- waiting until day 49 is not required.

What happens in uranium fission is that you get a melange of different isotopes. The largest amount of activity comes from the shortest-lived among them. However after a brief time, those short-lived isotopes are all gone, and the radiation is coming from the longer-lived isotopes. The exact shape of the curve would depend on the exact mix of isotopes produced. Kearny's book has a selected bibliography, but it's not obvious what part of that bibliography is the source of the isotope mix that gives rise to the seven-ten rule. It's possible that the rule is (or was in the 1980s) entirely empirical, based on the radiation profile of nuclear waste.

rob
  • 89,569
1

Theory behind the rule? Local fallout from a groundburst is a million parts irradiated dirt (light elements) and one part plutonium nastiness. Each component has its own half-life, so the only way to estimate decay is empirical observation. My bet is that someone in the late 1950s plotted radiation versus time on log-log graph paper and derived the following:

$$\text{radiation} = 10^{(\log_{10}(\text{radiation}_1) - 1.183 \times \log_{10}(\text{time}))}$$

The text in Kearny's book has all the hallmarks of a poorly-constructed word problem. The graph doesn't match the text. Other posters misinterpreted it too.

The result of this formula, in case you want to argue, is as follows:

  • At 1 hour since blast, radiation = 1000 {for example}
  • At 7 hours 100
  • At 49 hours 10
  • At 343 hours 1
  • At 2401 hours 0.1

"With each seven-fold increase in time since detonation, there is a ten-fold reduction in radiation."

AccidentalFourierTransform
  • 53,248
  • 20
  • 131
  • 253
0

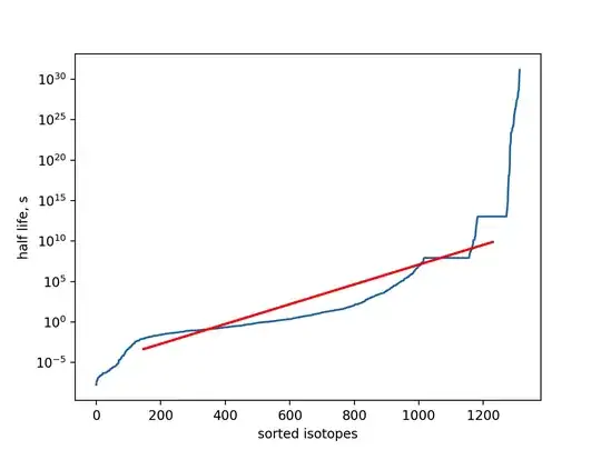
As long as isotopes half-lifes are log-uniformly spread, decay of their mix will follow hyperbolic law. Actually we do not even need really good uniformity - even big random error will not break hyperbola. See my code

I suppose it is connected to the distribution of half-lives, but I have no idea how to explain in a good way why fallout mix is relatively log-uniform.

nndc.bnl.gov data

Vashu
  • 629
-3

There are about 200 different isotopes in the air after a nuke goes off. They all decay at different rates, but a rule of thumb is 7:10. For every 7 days, the radioactivity goes to a 1/10th of what it was. So in about 2 weeks, it's at 1/100th of day one values.

Shnick
  • 1
  • 3
    I'm not sure how this answers the original question. Can you provide insight into the theory behind that rule? Is it just empirical or an average over all the isotopes? – ZeroTheHero Aug 09 '17 at 21:34
-4

Comment #2 of 2 on 3-26-2019 <<< I should have added for purposes of saving lives*** [via public education, and not with reference to merely the empirical origins of the 7/10 Rule] that your alpha- or beta- or gamma-measuring equipment is only as good as its calibration, and it needs to be checked as to its calibration periodically-- like any other type of measuring instrument. Especially anything that can determine whether you live or die. Since you particularly want your radiation meters to be accurate at 500-1000 Roentgens per hour (500 Roentgens/hr is usually fatal with an hour's exposure, 300 R/hr for an hour kills 50% of exposed humans) you want your meter checked against a source (typically cesium-137) that delivers up to or beyond 500 R/hr. And you need to make sure it is accurate in the microR, milliR, 1 R, 10R, 100R, 200R, 300R, and 400 Roentgen ranges since your survival depends on accurate measurements and summations of your various exposures over time, e.g. if you have to climb out of your bomb shelter and forage for food. If you can get to a safe place and stay there for 2 days, the radiation levels will probably have come down to much safer levels, viz. they should decrease by a factor of 100 over 49 hours. But this is only a flimsy guess and it involves the fact your life is at stake. Not a time to actually be relying on guesswork when there is a better alternative.

At any instant, if you can get 6 inches of concrete between you and the radiation, your exposure will be cut by a factor of approximately two, to half the original. If you can get 45 inches (115 centimeters) of ordinary dirt between you and the radiation, your exposure will be cut by a factor of something like 1,000, e.g. from 1,000 Roentgens/hr down to only one R/hr. These estimates are approximations only, and each radiation situation is different, e.g. dependent on each unique isotope variety, quantity, and in other words percentage in the mix. Most fallout looks like weirdly shaped irregular brown glassy sand or gravel with rounded edges, since it is largely made up of melted soil that got tossed by the blast, congealed quickly, and fell from high in the sky. Weird sand is easy to brush off your clothes or comb out of your hair. Other fallout consists of solidified vapor from nuclear bomb silicate mist, and it is totally invisible at the size of micro- or nano-particles. This is extremely hazardous as to alpha radiation to the lungs if inhaled, so again the measurement for alpha (in the dust on your face mask) can be =====SUPER= CRITICAL====== for avoiding the Darwin Award. Ditto for alpha dust getting detected or undetected down your throat. So, an accurately calibrated radiation-reading instrument is the best recourse. And, overnight when you are asleep, another dose of fallout may have blown in from another bomb detonation or washed out of the clouds with ordinary rain. So, accurate measurement is the only way to know how safe you might be.


***The real bottom-line answer to this question is: The purpose of the 7/10 Rule is to be a simple generalized empirical rule of thumb to help estimate your radiation risk. Since it is only an approximation, it can be deceptive, e.g. like where to stand if a semi tractor-trailer is barreling down the road and coming your way. By the rule of thumb, you would expect that you should stand on the shoulder to avoid the oncoming semi. However, if the circumstances are peculiar and the driver is drifting onto the shoulder, you better not be following the rule. Rather, you had best be observant of this particular danger at this particular time at this particular place. That's why if you follow the empirically-derived 7/10 rule you have a better chance to stay alive than if you hold a wet finger to the wind. But, better than betting your life on 7/10 it's an enhancement toward avoiding the Darwin Award if you have competent equipment, have competent calibration, and have competence in understanding what the numbers mean.

Currently, in a heightened sense of dread owing to questions about North Korea and Iran, various formerly available economical and efficient radiation measurement equipment is being commandeered by civilian government employees and military government employees, and is no longer available to ordinary citizens at any price. What is left for us peasants is largely bulky tedious junk equipment the government doesn't want to rely on. This policy of government commandeering first and citizens lives last was formulated under Obama and it is continued under Trump. Be advised you are on your own, and if you don't learn to fend for yourself it's likely that Big Brother won't be there when you need help, since you are expendable. Similarly, there is no longer a coherent organized large scale grain reserve for the United States. Since 2008 it has held cash rather than food https://en.wikipedia.org/wiki/Bill_Emerson_Humanitarian_Trust.

-6

Comment #1 of 2 on 3-26-2019 >>>>The math of Hadow is right and Shnick is wrong. It is not a reduction of radiation by a factor of ten every seven days that is operative. Rather, as time of any measurement unit is multiplied by 7, residual radiation is multiplied by 0.1 (viz. radiation becomes one tenth). So, for any period of time after detonation as [Hadow correctly shows], each 7-fold increment in the passage of time is accompanied by a 10-fold decrement in expected radiation. This "rule" is merely a stochastic approximate prediction based on empirical data, and is subject to the vicissitudes of which batch of radioactive sample (variable quantities, variable mixes of isotopes) falls near you. Much like you can be getting an inch of rain or snow on your head while the fellow across the street might be getting in the same time period half or twice the load you are experiencing. Except the variables of radiation are more complex than the variables of H20.

So, the only way to be safe in case of nuclear accident or attack is to have your own measuring equipment. Gamma measuring equipment is generally field-hardy and is useful to quickly get to a safe place, where you have time to think and cogitate upon your circumstances. Alpha measuring equipment is more expensive and delicate, since the sensors have thin mica or plastic windows and break to destruction each time they are punctured, at a typical cost of $2,000. So, for alpha measurements you need a quiet laboratory or at least a quiet kitchen type of space. Gamma surveillance tells you where your shelter is adequate vs. whether it is still time to keep running. Alpha surveillance tells you whether the food/water/air is safe to ingest. A little alpha inside you is medically a lot more deadly than quite a bit more gamma passing through you. For more details, consult training materials from FEMA or equivalent -- here is a very basic beginner's version: https://training.fema.gov/is/courseoverview.aspx?code=is-3

  • 1
    This doesn't answer the question, which asks whether the rule has any theoretical basis or is purely empirical. –  Mar 26 '19 at 22:42
  • Please try re-reading: """This "rule" is merely a stochastic approximate prediction based on empirical data, and is subject to the vicissitudes of which batch of radioactive sample (variable quantities, variable mixes of isotopes) falls near you.""" << Beyond that adherence, I am mostly volunteering survival information and trying to let people know about practical life-saving matters, since in case of emergency the effort to stay alive is a little more important than quibbling about academic-philosophical purity. What people learn in their leisure time today can save their lives tomorrow. – randy crawford Mar 26 '19 at 23:32