I was studying the Goldstein Classical Mechanics books and I became confused of this definition here:
Conservation Theorem: If the Generalized Coord $q_j$ is cyclic or ignorable, the corresponding Generalized (or Conjugate) Momentum, pj is conserved.
Well it seems to be a simple definition of a Conservation Theorem by cyclic coordinate. But I was wondering about cases when some coordinates have constrictions.
If a coordinate qj has a holonomic constriction by g(qj)=0, we can say that even if ∂L/∂qj=0, which states that L is not explicit of qj, the generalized momentum is not conserved due to Lagrangian multiplicator terms.
Now the question is, for a coordinate to be cyclic, does it only have to be not explicit about the Lagrangian or does the corresponding Generalized Momentum has to be conserved also?
Which one is correct among the two images?
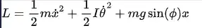
Here is an example about the constraint problem:

If the rolling body has a constraint of no-slip condition (x=Rtheta), friction is applied on the x and theta coordinate. Then we can say the generalized coordinate of x and theta is not conserved. theta is not explicit about L, but can we say theta is cyclic?
Well, as the system has a holonomic constraint(no-slip) the system has no coordinates which the corresponding generalized momentum is conserved. Therefore I was wondering:
even if the generalized momentum is not conserved, can the coordinate be cyclic?
What if we, suppose change the Lagrangian in a form like:
It's basically the same Lagrangian except the holonomic constaint is applied. Can we still say the coordinate theta be cyclic?


