6

Short question

Given any Lagrangian density of fields one could possibly conceive, is it the case that after one has performed a Legendre transformation, if the Hamiltonian is then expressed in terms of the original fields, will it contain all of the terms originally in the Lagrangian but with the signs of the potentials 'flipped'? Or are there cases when terms will be dropped in the transformation? Or is my statement altogether wrong. This question is inspired by the long version of my question below, relating to a problem I am currently working on.

Long, specific question

Given the Lagrangian density

enter image description here

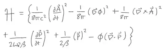
I have derived (several times to check for errors) using a Legendre transformation, the Hamiltonian density:

enter image description here

which is basically the Lagrangian density with a few sign flips apart from that it is missing the two terms outside the brackets in the Lagrangian density $\frac{1}{4\pi c}\frac{\partial\vec{A}}{\partial t}\cdot \nabla\phi + \frac{1}{c}\vec{A}\cdot\frac{\partial \vec{P}}{\partial t}$.

This worries me, as naively I expected to obtain a Hamiltonian very similar looking to the Lagrangian with all the same terms but some of the signs flipped. However I noticed that the 'missing' terms are the only ones which contain non-squared time derivatives so thought that might have something to do with it.

Tom
  • 962
  • In particle mechanics I believe that for the kinetic part a homogeneous quadratic function of velocities, and the potential part a function of co-ordinates and time only, the Hamiltonian = T + V. Introduce terms linear in the velocities (e.g. in electrodynamics, $V = q(\phi - \vec{v}\cdot\vec{A})$, and this no longer holds. – gj255 Jan 08 '14 at 20:01
  • Hmm yes, as is the case in my example here, the 'missing' terms are linear in time derivatives of quantities that are functions of spatial coordinates, so kind of like a velocity. I could believe my Hamiltonian is correct, but I am doubting myself due to these 'missing' terms, something I have not before encountered. – Tom Jan 08 '14 at 20:06

1 Answers1

9

I) For a general Lagrangian $L(q,v,t)$, the Legendre transformation may be singular, i.e. the velocities $v^i$ in the momentum relations

$$\tag{1} p_i~:=~\frac{\partial L(q,v,t)}{\partial v^i}$$

cannot be isolated. How to perform a singular Legendre transformation to achieve the corresponding Hamiltonian formulation goes under the name Dirac-Bergmann analysis, cf. Refs. 1 and 2.

II) Example. OP is evidently considering Hopfields's EM model with polarization also studied in this Phys.SE post. Its Lagrangian density$^1$

$$\tag{2} {\cal L}(A_{\mu},{\bf P}) ~=~-\frac{1}{16\pi}F_{\mu\nu}F^{\mu\nu} +A_{\mu} J^{\mu}_b +\frac{1}{2\beta}\left(\frac{1}{\omega_0^2}\dot{\bf P}^2 -{\bf P}^2\right)$$

leads to a singular Legendre transformation. The momentum

$$\tag{3} \pi^0~:=~\frac{\partial {\cal L}}{\partial \dot{A}_0}~=~0$$

corresponding to the $A_0$ field vanishes! Eq. (3) is a primary constraint in Dirac's terminology. One may show that there also is a secondary constraint, namely Gauss's law

$$\tag{4} {\bf \nabla}\cdot {\bf D}~=~0,$$

where ${\bf D}={\bf E}+4\pi{\bf P}$. (There are no free charges in this model.) The momentum ${\bf \pi}=-\frac{1}{4\pi}{\bf E}$ for the magnetic vector potential ${\bf A}$ is essentially the electric field ${\bf E}$. Let ${\bf \Pi}$ be the momentum for the polarization ${\bf P}$. One may show that the Hamiltonian density becomes

$$\tag{5} {\cal H}(A_{\mu},{\bf E},{\bf P},{\bf \Pi}) ~=~ \frac{1}{8\pi}({\bf E}^2+{\bf B}^2) +\frac{1}{4\pi}A_0 {\bf \nabla}\cdot {\bf D} +\frac{\beta\omega_0^2}{2}({\bf \Pi}-{\bf A})^2 +\frac{1}{2\beta}{\bf P}^2,$$

after dropping a total divergence term and eliminating the $\pi^0$ field.

III) Technically, what OP writes in his second equation is not the Hamiltonian density ${\cal H}$ but the Lagrangian energy density function

$$ \tag{6} {\cal h}(A_{\mu},\dot{\bf A},{\bf P},\dot{\bf P}) ~:=~\dot{A}_{\mu} \frac{\partial {\cal L}}{\partial \dot{A}_{\mu}} + \dot{\bf P}\cdot \frac{\partial {\cal L}}{\partial \dot{\bf P}}-{\cal L}.$$

IV) More generally, the point is that the Lagrangian energy function $h$ depends on velocities $v$, while the Hamiltonian $H$ depends on momenta $p$. If the Lagrangian is of the form

$$ \tag{7} L~=~\sum_{n=0}^{2}L_n,$$

where $L_n$ is homogeneous in velocities $v$ with weight $n$ (i.e. the Lagrangian (7) depends on the velocities up to quadratic order), then the Lagrangian energy function is

$$\tag{8} h~:=~~\left(v^i\frac{\partial}{\partial v^i}-1\right) L ~=~\sum_{n=0}^{2}(n-1)L_n ~=~ L_2 - L_0. $$

In words: The quadratic terms $L_2$ are preserved, the linear terms $L_1$ disappear, and the constant terms $L_0$ flip signs.

References:

  1. P.A.M. Dirac, Lectures on Quantum Mechanics, 1964.

  2. M. Henneaux and C. Teitelboim, Quantization of Gauge Systems, 1994.

--

$^1$ In this answer we work with cgs units where the speed of light in vacuum is $c=1$, and Minkowski signature $(-,+,+,+)$, cf. this Phys.SE answer.

Qmechanic
  • 201,751
  • Thank you once again @Qmechanic, Dirac_Bergmann analysis is certainly new to me, I don't suppose there are any texts you'd particularly recommend on the subject? My internet hunt hasn't returned anything that good so far. – Tom Jan 09 '14 at 10:59
  • Another question if you will. I was advised to try the problem in the coulomb gauge (which is where I'm ultimately heading), and in this case where $\nabla \cdot \vec{A}=0$ and $\phi = 0$ I have a similar situation where my derived Hamiltonian is the same as the Lagrangian apart from sign flips and the fact I am 'missing' the term $\frac{1}{c}\vec{A}\cdot\frac{\partial \vec{P}}{\partial t}$. However in this gauge there is no $\phi$ field and thus no conjugate momenta which are equal to zero. In this situation can we still use similar arguments as you presented above? Thanks. – Tom Jan 09 '14 at 13:23