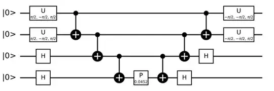
For example the following circuit is for $e^{-i(Z\otimes Z\otimes Z)\Delta t} $
I know this can even be done without the ancilla qubit, having the CNOTs control the last qubit and applying an RZ on the last qubit. Also, if instead of only Zs, our Pauli matrix is any combination of $I$,$X$,$Y$ and $Z$, we can still have it in this sort of format by swapping the $X-Z$ or $Y-Z$ bases before and after the circuit shown above.
So if I have an operator like $e^{-i 0.022616399973028944 YYXX}$, in Qiskit, how I can make this into a circuit of this kind of form? I am looking for a function that does this for a general operator of this form. Is there such a function in Qiskit?


