6

Consider two density matrices $\rho$ and $\sigma$. The task is to distinguish between these two states, given one of them --- you do not know beforehand which one.

There is an optimal measurement to distinguish between these two states --- the Helstrom measurement. Note that it is an orthogonal projector.


Now, if we have $k$ copies of the states, do we get any advantage from an entangled measurement across $k$ copies?

The optimal measurement, in this case, is a Helstorm measurement once again, of $\rho'$ and $\sigma'$, with $\rho' = \rho^{\otimes k}$ and $\sigma' = \sigma^{\otimes k}$. In general, this is an entangled measurement across the $k$ copies.

If we measure each copy separately and do some quantum or classical post-processing afterwards, how close can we go to the optimal distinguishing probability?

BlackHat18
  • 1,313
  • 8
  • 16
  • 3
    Yes, a non-product measurement does help and is necessary. See Section 4 of https://arxiv.org/abs/2007.11711 – user1936752 Sep 27 '21 at 08:12
  • @user1936752 That's interesting! Remarkably, for pure states product measurements are optimal. Does that imply that there must be an analog of the enhancement for classical probability distributions? – Nikita Nemkov Sep 27 '21 at 08:23
  • @user1936752 That paper regards asymmetric testing, while Helstrom is optimal for symmetric testing. Section 2.1 has some estimates for the symmetric case. – Danylo Y Sep 27 '21 at 18:52

1 Answers1

2

Very roughly speaking, yes, "entangled measures" (that is, global measures on multiple copies) make it easier to distinguish states.

The intuitive reason is that, if $\langle\rho,\sigma\rangle\equiv\operatorname{Tr}(\rho\sigma)<1$, then $\langle\rho^{\otimes n},\sigma^{\otimes n}\rangle=\langle\rho,\sigma\rangle^n$, which decreases with increasing $n$. You can then see that in the limit $n\to\infty$, the states become orthogonal, and thus perfectly distinguishable.

For example, if you take $\rho=|0\rangle\!\langle0|$ and $\sigma=|+\rangle\!\langle+|$ and compute the trace norm $\|\rho^{\otimes n}-\sigma^{\otimes n}\|_1$ as a function of $n$ (which you'll remember from the linked post, and the discussion in this post, gives you the maximum distinguishing probability), you get

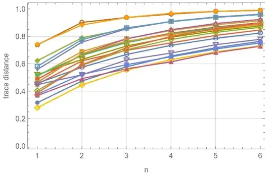
If you do the same for randomly generated three-dimensional states, you always get a similar behaviour:

To see that these better performance are made possible by entangled measures, consider again $\rho=|0\rangle\!\langle0|$ and $\sigma=|+\rangle\!\langle+|$. The corresponding Helstrom measurement is $$\Pi_\pm \equiv \mathbb P[(-1\pm \sqrt2)|0\rangle+|1\rangle], \qquad \mathbb P[|\psi\rangle]\equiv\frac{|\psi\rangle\!\langle\psi|}{\langle\psi|\psi\rangle}.$$ On the other hand, the Helstrom measurement corresponding to $\rho^{\otimes 2}-\sigma^{\otimes 2}$ is $$\Pi_\pm = \mathbb P[(-3\pm2\sqrt3)|00\rangle+|01\rangle+|10\rangle+|11\rangle],$$ which are clearly projections on entangled states.


The figures above were generated with the following MMA snippets:

KP[arg_] := arg;
KP[args___] := KroneckerProduct[args];
traceDistance[dm1_, dm2_] := dm1 - dm2 // Eigenvalues // Abs // Total // #/2 &;
With[{rho = {{1, 0}, {0, 0}}, sigma = {{1, 1}, {1, 1}}/2},
  Table[
    traceDistance[KP @@ ConstantArray[rho, n], KP @@ ConstantArray[sigma, n]],
    {n, Range@6}
  ] // ListPlot[#,
    Joined -> True, PlotMarkers -> Automatic, 
    GridLines -> Automatic, PlotRange -> All, Frame -> True, 
    FrameLabel -> {"n", "trace distance"}] &
 ]

and

KP[arg_] := arg;
KP[args___] := KroneckerProduct[args];
traceDistance[dm1_, dm2_] := dm1 - dm2 // Eigenvalues // Abs // Total // #/2 &;
randomDM[dim_Integer] := RandomComplex[{-1 - I, 1 + I}, {dim, dim}] // Dot[#, ConjugateTranspose@#] & // #/Tr@# &;
data = Table[
  With[{rho = randomDM@3, sigma = randomDM@3},
    Table[
      {n, traceDistance[KP @@ ConstantArray[rho, n], KP @@ ConstantArray[sigma, n]]},
      {n, Range@6}
    ]],
  20
];
ListPlot[data,
  Joined -> True, PlotMarkers -> Automatic, 
  GridLines -> Automatic, PlotRange -> All, Frame -> True, 
  FrameLabel -> {"n", "trace distance"}
]
glS
  • 24,660
  • 5
  • 34
  • 108
  • Hmm, your intuitive reason only explains why many copies are good to have, not why non-product measurements can do better, right? Also, do you think there is a classical counterpart to this statement? Something like collective measurements on copies of probability distributions can help distinguish them better? – Nikita Nemkov Sep 28 '21 at 14:48
  • well, if you do product measurements, there certainly cannot be any advantage: you are just doing the same measurement multiple times. In this context (or at least at this level of the discussion), when talking about efficiency in discriminating states, people already assume infinitely many measurements were performed, that is, assume to know the precise outcome probabilities. For the same reason, I don't think there is a classical counterpart. The advantage comes from $\rho\otimes\rho$ being different than $\rho$, something giving different probabilities. What would that be classically? – glS Sep 28 '21 at 15:51