I'm trying to evolve quantum circuits using genetic algorithms as they did in this paper Decomposition of unitary matrices for finding quantum circuits: Application to molecular Hamiltonians (Daskin & Kais).
So given a unitary target matrix ($U_t$), the task is to evolve a circuit that approximates $U_t$ (let's call it $U_a$). This is the function I'm maximizing:
$$F = \frac{1}{2^n}|\operatorname{Tr}(U_aU_t^{\dagger})|$$ (where n is the number of qubits)
My circuit encoding is a little bit different, I'm using a json string representation, here's an example of a random circuit:
[{0: ('Y', -1, None), 1: ('Td', -1, None), 2: ('Y', -1, None)},
{0: ('Z', 2, None), 1: ('Y', -1, None)},
{0: ('Vd', 1, None), 2: ('V', -1, None)},
{1: ('X', -1, None), 2: ('Y', 0, None)},
{0: ('Td', -1, None), 2: ('V', 1, None)},
{1: ('S', -1, None), 2: ('X', 0, None)}]
Every dictionary item in the array is a column in the format {target: (gate, control, param)}. The value -1 means no control, and None means there are no parameters. Here's a visual representation of this circuit:
+--------+-------+-------+-------+-------+-------+-------+
| qubit | col_0 | col_1 | col_2 | col_3 | col_4 | col_5 |
+--------+-------+-------+-------+-------+-------+-------+
| q0--> | Y | Z•2 | Vd•1 | I | Td | I |
| q1--> | Td | Y | I | X | I | S |
| q2--> | Y | I | V | Y•0 | V•1 | X•0 |
+--------+-------+-------+-------+-------+-------+-------+
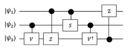
So far, I've been successful at finding very small circuits (with 2 "columns"). The problem comes when trying to evolve solutions for more complex circuits. For example, the paper shows this solution for the Toffoli unitary:
My algorithm is not able to find this solution or any other exact solution to this problem. I tried changing the selection method, crossover and mutation rates, but the fitness value never exceeds 0.85. After some generations, it seems that all individuals are converging to the same non-optimal circuit (this happens even with uniform crossover and random selection).
For crossover, I've tried one-point crossover and uniform crossover. The mutation operation can do these things:
- If it's a controlled gate, it can change the type of the target gate, can change the position of the control, can swap target/control, can remove the control, or can shuffle a column.
- If it's not a controlled gate, it can change the type of gate or introduce a control.
I don't see what else can I do to improve these operators. In the paper, they also have a continuous angle phase parameter, but this particular circuit solution does not use it anyway.
Another curious fact: for this particular problem, the empty circuit has a fitness of 0.75. If a take the exact solution (from the image) and change a single gate, I can get a fitness of 0.5. So, an empty circuit has better fitness than a circuit which is a small step from the exact solution. This is very confusing, I don't see where the GA will find "optimal sub-circuits" to exchange during crossover.
It should be noted that the paper uses a more sophisticated version of a GA, but for the reasons stated above, I don't think it will make a difference in my case. So what I'm missing or how can I improve this? Thank you!
Edit
It seems the GLOA did it's work. The algorithm found this for the Toffoli unitary:
+--------+-------+-------+-------+-------+-------+
| qubit | col_0 | col_1 | col_2 | col_3 | col_4 |
+--------+-------+-------+-------+-------+-------+
| q0--> | I | I | I | I | I |
| q1--> | Z•2 | I | I | I | S•0 |
| q2--> | I | Vd•0 | Z•1 | V•0 | I |
+--------+-------+-------+-------+-------+-------+
But I limited the kind of gates it could use, now I'll try with all the gates.
