5

I want to align equations inside an enumerate environment or to get a similar result using another environment. Here's the actual code:

\documentclass{article}
\usepackage{amsthm}
\begin{document}
\begin{enumerate}
    \item $\forall a,b \in K \qquad a + b \in K$
    \item $\forall a,b \in K \qquad a \cdot b \in K$
    \item $\forall a,b \in K \qquad a + b = b + a$
    \item $\forall a,b,c \in K \qquad a + (b + c) = (a + b) + c$
    \item $\exists n_{+} \in K \ \forall a \in K \qquad a + n_{+} = a$
    \item $\forall a \in K \ \exists a_{+}' \in K \qquad a + a_{+}' = n_{+}$
    \item $\forall a,b \in K \qquad a \cdot b = b \cdot a$
    \item $\forall a,b,c \in K \qquad a \cdot (b \cdot c) = (a \cdot b) \cdot c$
    \item $\forall a,b,c \in K \qquad a \cdot (b + c) = a \cdot b + a \cdot c$
    \item $\exists n_{\cdot} \in K \ \forall a \in K\backslash\{n_{+}\}  \qquad a \cdot n_{\cdot} = a$
    \item $\forall a \in K\backslash\{n_{+}\} \ \exists a_{\cdot}' \in K \qquad a \cdot a_{\cdot}' = n_{\cdot}$
\end{enumerate}
\end{document}

I want the equations in the second column would be left aligned.

Ramiro
  • 75

4 Answers4

8

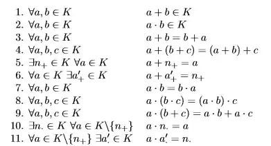
enter image description here

Here's one way to do it with a tabular which automatically numbers itself

\documentclass{article}
\usepackage{array}
\newcounter{rowcount}
\setcounter{rowcount}{0}
\begin{document}
    \begin{tabular}{@{\stepcounter{rowcount}\therowcount. }ll}
        $\forall a,b \in K $ & $ a + b \in K$\\
        $\forall a,b \in K $ & $ a \cdot b \in K$\\
        $\forall a,b \in K $ & $ a + b = b + a$\\
        $\forall a,b,c \in K $ & $ a + (b + c) = (a + b) + c$\\
        $\exists n_{+} \in K \ \forall a \in K $ & $ a + n_{+} = a$\\
        $\forall a \in K \ \exists a_{+}' \in K $ & $ a + a_{+}' = n_{+}$\\
        $\forall a,b \in K $ & $ a \cdot b = b \cdot a$\\
        $\forall a,b,c \in K $ & $ a \cdot (b \cdot c) = (a \cdot b) \cdot c$\\
        $\forall a,b,c \in K $ & $ a \cdot (b + c) = a \cdot b + a \cdot c$\\
        $\exists n_{\cdot} \in K \ \forall a \in K\backslash\{n_{+}\}  $ & $ a \cdot n_{\cdot} = a$\\
        $\forall a \in K\backslash\{n_{+}\} \ \exists a_{\cdot}' \in K $ & $ a \cdot a_{\cdot}' = n_{\cdot}$\\
    \end{tabular}
\end{document}

I took the numbering system from this answer.

Willoughby
  • 3,649
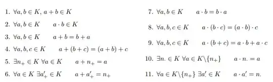
5

Does it have to be an enumerate environment? Might using an array environment be acceptable?

enter image description here

\documentclass{article}
\usepackage{array}
\newcounter{mycount}
\newcolumntype{Z}{>{\refstepcounter{mycount}\themycount.}r}
\newcolumntype{L}{>{\displaystyle}l}
\newcolumntype{R}{>{\displaystyle}r}

\begin{document} [ \renewcommand{\arraystretch}{1.5} \begin{array}{@{} Z R @{\qquad} L @{}} & \forall a,b \in K & a + b \in K \ & \forall a,b \in K & a \cdot b \in K \ & \forall a,b \in K & a + b = b + a \ & \forall a,b,c \in K & a + (b + c) = (a + b) + c \ & \exists n_{+} \in K \ \forall a \in K & a + n_{+} = a \ & \forall a \in K \ \exists a_{+}' \in K & a + a_{+}' = n_{+} \ & \forall a,b \in K & a \cdot b = b \cdot a \ & \forall a,b,c \in K & a \cdot (b \cdot c) = (a \cdot b) \cdot c \ & \forall a,b,c \in K & a \cdot (b + c) = a \cdot b + a \cdot c \ & \exists n_{\cdot} \in K \ \forall a \in K\setminus{n_{+}} & a \cdot n_{\cdot} = a \ & \forall a \in K\setminus{n_{+}} \ \exists a_{\cdot}' \in K & a \cdot a_{\cdot}' = n_{\cdot} \end{array} ] \end{document}

Mico
  • 506,678
2

I often use multicol package in this simple case. The {2} corresponds to the alignment for two columns. I have used \usepackage{geometry} to get a correct spacing between two columns.

\documentclass{article}
\usepackage{amsthm}
\usepackage{multicol}
\usepackage{geometry}

\begin{document} \begin{multicols}{2} \begin{enumerate} \item $\forall a,b \in K,, a + b \in K$ \item $\forall a,b \in K \qquad a \cdot b \in K$ \item $\forall a,b \in K \qquad a + b = b + a$ \item $\forall a,b,c \in K \qquad a + (b + c) = (a + b) + c$ \item $\exists n_{+} \in K \ \forall a \in K \qquad a + n_{+} = a$ \item $\forall a \in K \ \exists a_{+}' \in K \qquad a + a_{+}' = n_{+}$ \item $\forall a,b \in K \qquad a \cdot b = b \cdot a$ \item $\forall a,b,c \in K \qquad a \cdot (b \cdot c) = (a \cdot b) \cdot c$ \item $\forall a,b,c \in K \qquad a \cdot (b + c) = a \cdot b + a \cdot c$ \item $\exists n_{\cdot} \in K \ \forall a \in K\backslash{n_{+}} \qquad a \cdot n_{\cdot} = a$ \item $\forall a \in K\backslash{n_{+}} \ \exists a_{\cdot}' \in K \qquad a \cdot a_{\cdot}' = n_{\cdot}$ \end{enumerate} \end{multicols} \end{document}

enter image description here

Sebastiano
  • 54,118
1

I have dealt with the issue using:

\documentclass{article}
\usepackage{tabto}  
\begin{document}
\TabPositions{0.4\linewidth}
\begin{enumerate}
    \item $\forall a,b \in K$ \tab $a + b \in K$
    \item $\forall a,b \in K$ \tab $a \cdot b \in K$
    \item $\forall a,b \in K$ \tab $a + b = b + a$
    \item $\forall a,b,c \in K$ \tab $a + (b + c) = (a + b) + c$
    \item $\exists n_{+} \in K, \forall a \in K$ \tab $a + n_{+} = a$
    \item $\forall a \in K, \exists a_{+}' \in K$ \tab $a + a_{+}' = n_{+}$
    \item $\forall a,b \in K$ \tab $a \cdot b = b \cdot a$
    \item $\forall a,b,c \in K$ \tab $a \cdot (b \cdot c) = (a \cdot b) \cdot c$
    \item $\forall a,b,c \in K$ \tab $a \cdot (b + c) = a \cdot b + a \cdot c$
    \item $\exists n_{\cdot} \in K, \forall a \in K\backslash\{n_{+}\}$ \tab $a \cdot n_{\cdot} = a$
    \item $\forall a \in K\backslash\{n_{+}\}, \exists a_{\cdot}' \in K$ \tab $a \cdot a_{\cdot}' = n_{\cdot}$
\end{enumerate}
\end{document}

However the solution provided by Willoughby looks better.

Ramiro
  • 75