Here are three alternative versions of your table:
In the first one, I used a combination of longtable to allow the table to span multiple pages in combination with the threeparttablex package for the descriptive text below the table.

I also included two other alternatives that both make sure the table fits onto a single page by showing not only three columns, but two sets of three column side by side. Since the column's entries are quite narrow, you could introduce linebreaks in the column headers (for example with the help of the \thead command from the makecell package) and fit the second half of the table right next to the first half. This allows you to save space without having to compress the table's contents. I also used horizontal lines from the booktabs package as well as \addlinespace in order to provide a guide to the eye and make the table more readable.

The second alternative makes sure, the table is as wide as the textwidth and the explanatory text is just placed inside of the table environment. \smallskip adds a small amount of vertical white space between the bottom of the table and the start of the explanatory text.
In the third and last alternative, I kept the table at its natural width and used threeparttable in order to make sure the explanatory text below the table is as wide as the table naturally is. I also tried to provide more structure to the descriptive text by starting each item in a new line.
\documentclass{article}
\usepackage[labelfont=bf, format=plain]{caption}
\usepackage{longtable}
\usepackage{tabularx,booktabs}
\usepackage{threeparttablex}
\usepackage{makecell}
\renewcommand{\theadfont}{\normalsize\bfseries}
\begin{document}
\LTcapwidth=\textwidth
\begin{ThreePartTable}
\begin{TableNotes}[flushleft]
\setlength\labelsep{0pt}
\footnotesize
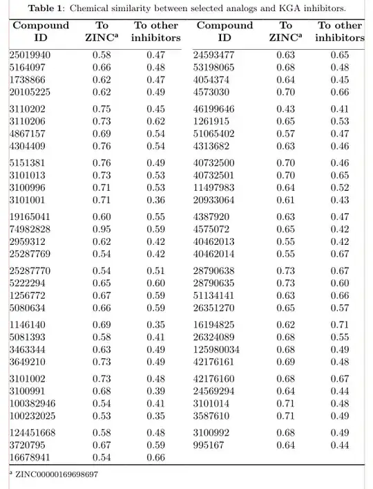
\item[] \textbf{Compound ID}, ID of the compound taken from XXX.
\textbf{To XXXX}, chemical XXXX values measured between 61 analogs and the most potent XXXXXX. \textbf{To remaining inhibitors}, chemical similarity values measured between 61 XXXX and the remaining 4 XXXX inhibitors.
\end{TableNotes}
\begin{longtable}{c c c}
\caption{Chemical similarity between selected analogs and KGA inhibitors.}
\label{tab:61analogs}\
\hline
\textbf{Compound ID} & \textbf{To ZINC00000169698697} & \textbf{To other inhibitors} \
\hline
\endfirsthead
\multicolumn{3}{c}%
{\tablename\ \thetable\ -- \textit{Continued from previous page}} \
\hline
\textbf{Compound ID} & \textbf{Second entry} & \textbf{Third entry} \
\hline
\endhead
\hline \multicolumn{3}{r}{\textit{Continued on next page}} \
\endfoot
\hline
\insertTableNotes
\endlastfoot
25019940 & 0.58 & 0.47 \
5164097 & 0.66 & 0.48 \
1738866 & 0.62 & 0.47 \
20105225 & 0.62 & 0.49 \
3110202 & 0.75 & 0.45 \
3110206 & 0.73 & 0.62 \
4867157 & 0.69 & 0.54 \
4304409 & 0.76 & 0.54 \
5151381 & 0.76 & 0.49 \
3101013 & 0.73 & 0.53 \
3100996 & 0.71 & 0.53 \
3101001 & 0.71 & 0.36 \
19165041 & 0.60 & 0.55 \
74982828 & 0.95 & 0.59 \
2959312 & 0.62 & 0.42 \
25287769 & 0.54 & 0.42 \
25287770 & 0.54 & 0.51 \
5222294 & 0.65 & 0.60 \
1256772 & 0.67 & 0.59 \
5080634 & 0.66 & 0.59 \
1146140 & 0.69 & 0.35 \
5081393 & 0.58 & 0.41 \
3463344 & 0.63 & 0.49 \
3649210 & 0.73 & 0.49 \
3101002 & 0.73 & 0.48 \
3100991 & 0.68 & 0.39 \
100382946 & 0.54 & 0.41 \
100232025 & 0.53 & 0.35 \
124451668 & 0.58 & 0.48 \
3720795 & 0.67 & 0.59 \
16678941 & 0.54 & 0.66 \
24593477 & 0.63 & 0.65 \
53198065 & 0.68 & 0.48 \
4054374 & 0.64 & 0.45 \
4573030 & 0.70 & 0.66 \
46199646 & 0.43 & 0.41 \
1261915 & 0.65 & 0.53 \
51065402 & 0.57 & 0.47 \
4313682 & 0.63 & 0.46 \
40732500 & 0.70 & 0.46 \
40732501 & 0.70 & 0.65 \
11497983 & 0.64 & 0.52 \
20933064 & 0.61 & 0.43 \
4387920 & 0.63 & 0.47 \
4575072 & 0.65 & 0.42 \
40462013 & 0.55 & 0.42 \
40462014 & 0.55 & 0.67 \
28790638 & 0.73 & 0.67 \
28790635 & 0.73 & 0.60 \
51134141 & 0.63 & 0.66 \
26351270 & 0.65 & 0.57 \
16194825 & 0.62 & 0.71 \
26324089 & 0.68 & 0.55 \
125980034 & 0.68 & 0.49 \
42176161 & 0.69 & 0.48 \
42176160 & 0.68 & 0.67 \
24569294 & 0.64 & 0.44 \
3101014 & 0.71 & 0.48 \
3587610 & 0.71 & 0.49 \
3100992 & 0.68 & 0.49 \
995167 & 0.64 & 0.44 \
\end{longtable}
\end{ThreePartTable}
\begin{table}
\caption{Chemical similarity between selected analogs and KGA inhibitors.}
\label{tab:61analogs}
\begin{tabular*}{\linewidth}{@{\extracolsep{\fill}}l c c lcc}
\toprule
\thead{Compound\\ ID} & \thead{Second\\ entry} & \thead{Third\\ entry} & \thead{Compound\\ ID} & \thead{Second\\ entry} & \thead{Third\\ entry} \\
\cmidrule(r){1-3} \cmidrule(l){4-6}
25019940 & 0.58 & 0.47 & 24593477 & 0.63 & 0.65 \\
5164097 & 0.66 & 0.48 & 53198065 & 0.68 & 0.48 \\
1738866 & 0.62 & 0.47 & 4054374 & 0.64 & 0.45 \\
20105225 & 0.62 & 0.49 & 4573030 & 0.70 & 0.66 \\
3110202 & 0.75 & 0.45 & 46199646 & 0.43 & 0.41 \\ \addlinespace
3110206 & 0.73 & 0.62 & 1261915 & 0.65 & 0.53 \\
4867157 & 0.69 & 0.54 & 51065402 & 0.57 & 0.47 \\
4304409 & 0.76 & 0.54 & 4313682 & 0.63 & 0.46 \\
5151381 & 0.76 & 0.49 & 40732500 & 0.70 & 0.46 \\
3101013 & 0.73 & 0.53 & 40732501 & 0.70 & 0.65 \\ \addlinespace
3100996 & 0.71 & 0.53 & 11497983 & 0.64 & 0.52 \\
3101001 & 0.71 & 0.36 & 20933064 & 0.61 & 0.43 \\
19165041 & 0.60 & 0.55 & 4387920 & 0.63 & 0.47 \\
74982828 & 0.95 & 0.59 & 4575072 & 0.65 & 0.42 \\
2959312 & 0.62 & 0.42 & 40462013 & 0.55 & 0.42 \\ \addlinespace
25287769 & 0.54 & 0.42 & 40462014 & 0.55 & 0.67 \\
25287770 & 0.54 & 0.51 & 28790638 & 0.73 & 0.67 \\
5222294 & 0.65 & 0.60 & 28790635 & 0.73 & 0.60 \\
1256772 & 0.67 & 0.59 & 51134141 & 0.63 & 0.66 \\
5080634 & 0.66 & 0.59 & 26351270 & 0.65 & 0.57 \\ \addlinespace
1146140 & 0.69 & 0.35 & 16194825 & 0.62 & 0.71 \\
5081393 & 0.58 & 0.41 & 26324089 & 0.68 & 0.55 \\
3463344 & 0.63 & 0.49 & 125980034 & 0.68 & 0.49 \\
3649210 & 0.73 & 0.49 & 42176161 & 0.69 & 0.48 \\
3101002 & 0.73 & 0.48 & 42176160 & 0.68 & 0.67 \\ \addlinespace
3100991 & 0.68 & 0.39 & 24569294 & 0.64 & 0.44 \\
100382946 & 0.54 & 0.41 & 3101014 & 0.71 & 0.48 \\
100232025 & 0.53 & 0.35 & 3587610 & 0.71 & 0.49 \\
124451668 & 0.58 & 0.48 & 3100992 & 0.68 & 0.49 \\
3720795 & 0.67 & 0.59 & 995167 & 0.64 & 0.44 \\ \addlinespace
16678941 & 0.54 & 0.66 \\
\bottomrule
\end{tabular*}
\smallskip
\textbf{Compound ID}, ID of the compound taken from XXX.
\textbf{To XXXX}, chemical XXXX values measured between 61 analogs and the most potent XXXXXX. \textbf{To remaining inhibitors}, chemical similarity values measured between 61 XXXX and the remaining 4 XXXX inhibitors.
\end{table}
\begin{table}
\centering
\begin{threeparttable}
\caption{Chemical similarity between selected analogs and KGA inhibitors.}
\label{tab:61analogs}
\begin{tabular}{l c c lcc}
\toprule
\thead{Compound\\ ID} & \thead{Second\\ entry} & \thead{Third\\ entry} & \thead{Compound\\ ID} & \thead{Second\\ entry} & \thead{Third\\ entry} \\
\cmidrule(r){1-3} \cmidrule(l){4-6}
25019940 & 0.58 & 0.47 & 24593477 & 0.63 & 0.65 \\
5164097 & 0.66 & 0.48 & 53198065 & 0.68 & 0.48 \\
1738866 & 0.62 & 0.47 & 4054374 & 0.64 & 0.45 \\
20105225 & 0.62 & 0.49 & 4573030 & 0.70 & 0.66 \\
3110202 & 0.75 & 0.45 & 46199646 & 0.43 & 0.41 \\ \addlinespace
3110206 & 0.73 & 0.62 & 1261915 & 0.65 & 0.53 \\
4867157 & 0.69 & 0.54 & 51065402 & 0.57 & 0.47 \\
4304409 & 0.76 & 0.54 & 4313682 & 0.63 & 0.46 \\
5151381 & 0.76 & 0.49 & 40732500 & 0.70 & 0.46 \\
3101013 & 0.73 & 0.53 & 40732501 & 0.70 & 0.65 \\ \addlinespace
3100996 & 0.71 & 0.53 & 11497983 & 0.64 & 0.52 \\
3101001 & 0.71 & 0.36 & 20933064 & 0.61 & 0.43 \\
19165041 & 0.60 & 0.55 & 4387920 & 0.63 & 0.47 \\
74982828 & 0.95 & 0.59 & 4575072 & 0.65 & 0.42 \\
2959312 & 0.62 & 0.42 & 40462013 & 0.55 & 0.42 \\ \addlinespace
25287769 & 0.54 & 0.42 & 40462014 & 0.55 & 0.67 \\
25287770 & 0.54 & 0.51 & 28790638 & 0.73 & 0.67 \\
5222294 & 0.65 & 0.60 & 28790635 & 0.73 & 0.60 \\
1256772 & 0.67 & 0.59 & 51134141 & 0.63 & 0.66 \\
5080634 & 0.66 & 0.59 & 26351270 & 0.65 & 0.57 \\ \addlinespace
1146140 & 0.69 & 0.35 & 16194825 & 0.62 & 0.71 \\
5081393 & 0.58 & 0.41 & 26324089 & 0.68 & 0.55 \\
3463344 & 0.63 & 0.49 & 125980034 & 0.68 & 0.49 \\
3649210 & 0.73 & 0.49 & 42176161 & 0.69 & 0.48 \\
3101002 & 0.73 & 0.48 & 42176160 & 0.68 & 0.67 \\ \addlinespace
3100991 & 0.68 & 0.39 & 24569294 & 0.64 & 0.44 \\
100382946 & 0.54 & 0.41 & 3101014 & 0.71 & 0.48 \\
100232025 & 0.53 & 0.35 & 3587610 & 0.71 & 0.49 \\
124451668 & 0.58 & 0.48 & 3100992 & 0.68 & 0.49 \\
3720795 & 0.67 & 0.59 & 995167 & 0.64 & 0.44 \\ \addlinespace
16678941 & 0.54 & 0.66 \\
\bottomrule
\end{tabular}
\begin{tablenotes}[flushleft]
\setlength\labelsep{0pt}
\footnotesize
\item[]\textbf{Compound ID}, ID of the compound taken from XXX.
\item[]\textbf{To XXXX}, chemical XXXX values measured between 61 analogs and the most potent XXXXXX.
\item[]\textbf{To remaining inhibitors}, chemical similarity values measured between 61 XXXX and the remaining 4 XXXX inhibitors.
\end{tablenotes}
\end{threeparttable}
\end{table}
\end{document}
\begin{document}and\end{document}so that we can copy your MWE (Minimal Working Example) and compile it without having to guess anything and help you better. And welcome to TeX.SE! – Lukas Sep 25 '21 at 08:22\renewcommand\arraystretch{0.58}. Finallly, is "ZINC00000169698697" a real word? – Mico Sep 25 '21 at 09:05