
AMS alignments are all written to use a syntax with the alignment point just to the left of the relation (unlike the deprecated eqnarray) so &= not &=&. The LaTeX syntax for a binomial coefficient is \binom{a}{b} note that \choose is a plain tex macro that should not be used in LaTeX if you do use it amsmath warns
Package amsmath Warning: Foreign command \atopwithdelims;
(amsmath) \frac or \genfrac should be used instead
(amsmath) on input line 11.
Also if you use it the syntax is {2+2-1 \choose 2} not {2+2-1}\choose{2} otherwise it will pick up everything before the \choose such as the = in your example.
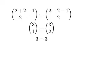
\documentclass{article}
\usepackage{amsmath}
\begin{document}
\begin{align}
\binom{2 + 2 - 1}{2 - 1} &= \binom{2 + 2 - 1}{2} \
\binom{3}{1} &= \binom{3}{2} \
3 &= 3
\end{align}
\end{document}
&=not&=&also use\binom{a}{b}nota \choose b– David Carlisle Oct 12 '21 at 22:56\binomspecifically for this use. If you do use\choose(don't) the syntax for that plain tex command is{2+2+1 \choose 2}not{2+2+1}\choose {2}if used that way it will not grab the = but\binomis the correct form – David Carlisle Oct 12 '21 at 23:06\fracvs.\overissue (and hence, indirectly, the\binomvs.\chooseissue), see the posting What is the difference between \over and \frac? (Shameless self-citation alert!) – Mico Oct 13 '21 at 03:50