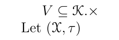
I've recently come across this symbols from this paper.

Could you inform what are the code of this K and X? I tried \mathcal K and \mathcal X to no avail.
I've recently come across this symbols from this paper.

Could you inform what are the code of this K and X? I tried \mathcal K and \mathcal X to no avail.
As @DavidCarlisle said: "try \mathcal with \usepackage{eucal}" and also here is the workable example for Your question:
\documentclass[a4paper,12pt]{article}
\usepackage{eucal}
\begin{document}
$V \subseteq \mathcal{K} . \times$\
Let $(\mathcal{X}, \tau)$
\end{document}