I failed to add the red curved arrows to a tabular using TikZ. I feel ashamed... :-)
I am not looking for an automated solution.
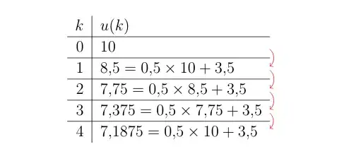
Here is the code just for the table.
\documentclass[a4paper, 13pt]{scrartcl}
\usepackage[utf8]{inputenc}
\usepackage[T1]{fontenc}
\usepackage{nicematrix}
\begin{document}
\begin{NiceTabular}{r|l}
$k$ & $u(k)$
\ \hline
$0$ & $10$
\ \hline
$1$ & $8,!5 = 0,!5 \times 10 + 3,!5$
\ \hline
$2$ & $7,!75 = 0,!5 \times 8,!5 + 3,!5$
\ \hline
$3$ & $7,!375 = 0,!5 \times 7,!75 + 3,!5$
\ \hline
$4$ & $7,!1875 = 0,!5 \times 10 + 3,!5$
% Not good even with a straight arrow !
% \CodeAfter
% \begin{tikzpicture}
% \draw[->, red] (2-2) edge (3-2);
% \draw[->, red] (3-2) edge (4-2);
% \end{tikzpicture}
\end{NiceTabular}
\end{document}



\CodeAfterwith TikZ commands? – SebGlav Oct 28 '21 at 11:45