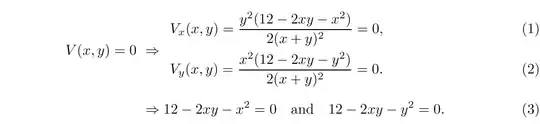
The following solution borrows heavily (steals??) from this answer of @egreg's to the question nested equations numbering.

\documentclass{article}
\usepackage{mathtools}
\begin{document}
\begin{align}
&\makebox[0pt][l]{\smash{\raisebox{-1\baselineskip}{%
$\mathllap{V(x,y) = 0\ }\Rightarrow\quad$ }}}
\hphantom{\Rightarrow\quad}
V_x(x,y) = \frac{y^2(12 - 2xy - x^2)}{2(x + y)^2} = 0, \\
& \hphantom{\Rightarrow\quad}
V_y(x,y) = \frac{x^2(12 - 2xy - y^2)}{2(x + y)^2} = 0.\\[2\jot]
&\Rightarrow 12-2xy-x^2 = 0 \quad \text{and}\quad 12-2xy-y^2 = 0.
\end{align}
\end{document}
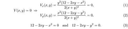
Addendum: The OP has posted a follow-up request for a version of the three-equation group without a \Rightarrow at the start of the third line, and with the first = symbol in the third line aligned with the first = symbols in the two preceding lines. Here goes.

\documentclass{article}
\usepackage{mathtools,showframe}
\begin{document}
\begin{align}
\makebox[0pt][l]{\smash{\raisebox{-1\baselineskip}{%
$\mathllap{V(x,y) = 0\ }\Rightarrow\quad$}}}
\hphantom{\Rightarrow\quad}
V_x(x,y) &= \frac{y^2(12 - 2xy - x^2)}{2(x + y)^2} = 0, \\
\hphantom{\Rightarrow\quad}
V_y(x,y) &= \frac{x^2(12 - 2xy - y^2)}{2(x + y)^2} = 0.\\[2\jot]
12-2xy-x^2 &= 0 \quad \text{and}\quad 12-2xy-y^2 = 0.
\end{align}
\end{document}