3

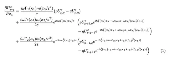
I am having trouble aligning the second block in my example below...

\documentclass{article}

\usepackage{amsmath} \usepackage{amssymb}

\begin{document} \begin{alignat}{2}\nonumber \frac{\partial U^\varepsilon_{p,q}}{\partial x_3} &= \frac{i\omega\Gamma_1(\kappa_1) m(x_3/\varepsilon^2)}{\varepsilon}\bigg(pU^\varepsilon_{p,q} - qU^\varepsilon_{p,q}\bigg) \ \nonumber &+\frac{i\omega\Gamma_2(\kappa_1) m(x_3/\varepsilon^2)}{2\varepsilon}e^{2i\omega\bar\zeta(\kappa_1)x_3/\varepsilon}&&\bigg(pU^\varepsilon_{p+1,q}e^{ih\bar\zeta(\kappa_1)x_3 - i\omega\bar{c}{66}\kappa_1\lambda x_3/(\bar{c}{44}\bar{\zeta}(\kappa_1))} \ \nonumber &\phantom{+} &&-qU^\varepsilon_{p,q-1}e^{-ih\bar\zeta(\kappa_1)x_3 + i\omega\bar{c}{66}\kappa_1\lambda x_3/(\bar{c}{44}\bar{\zeta}(\kappa_1))}\bigg) \ \nonumber &+\frac{i\omega\Gamma_2(\kappa_1) m(x_3/\varepsilon^2)}{2\varepsilon}e^{-2i\omega\bar\zeta(\kappa_1)x_3/\varepsilon}&&\bigg(pU^\varepsilon_{p-1,q}e^{-ih\bar{\zeta}x_3 + i\omega\bar{c}{66}\kappa_1\lambda x_3/(\bar{c}{44}\bar{\zeta}(\kappa_1))} \ &\phantom{+} &&-qU^\varepsilon_{p,q+1}e^{ih\bar{\zeta}(\kappa_1)x_3 - i\omega\bar{c}{66}\kappa_1\lambda x_3/(\bar{c}{44}\bar{\zeta}(\kappa_1))}\bigg) \end{alignat} \end{document}

The second line where \bigg(p appears should not have a large space between there and the exponential previous to it, could someone lend me a piece of advice please? Thanks.

enter image description here

2 Answers2

2

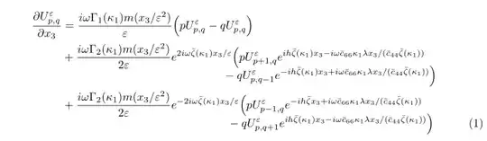
You might add a negative space in the first row to make TeX think it's shorter.

There will still be a small gap, due to the minus sign in the exponent, but I feel that alignment is more important.

\documentclass{article}
\usepackage{geometry}
\usepackage{amsmath}
\usepackage{amssymb}

\begin{document}

\begin{alignat}{2} \frac{\partial U^\varepsilon_{p,q}}{\partial x_3} &= \frac{i\omega\Gamma_1(\kappa_1) m(x_3/\varepsilon^2)}{\varepsilon} \bigl(pU^\varepsilon_{p,q} - qU^\varepsilon_{p,q}\bigr) \hspace{-5em} \nonumber \ &+ \frac{i\omega\Gamma_2(\kappa_1) m(x_3/\varepsilon^2)}{2\varepsilon} e^{2i\omega\bar\zeta(\kappa_1)x_3/\varepsilon} &&\Bigl(pU^\varepsilon_{p+1,q}e^{ih\bar\zeta(\kappa_1)x_3 - i\omega\bar{c}{66}\kappa_1\lambda x_3/(\bar{c}{44}\bar{\zeta}(\kappa_1))} \nonumber \ & &&-qU^\varepsilon_{p,q-1}e^{-ih\bar\zeta(\kappa_1)x_3 + i\omega\bar{c}{66}\kappa_1\lambda x_3/(\bar{c}{44}\bar{\zeta}(\kappa_1))}\Bigr) \nonumber \ &+ \frac{i\omega\Gamma_2(\kappa_1) m(x_3/\varepsilon^2)}{2\varepsilon} e^{-2i\omega\bar\zeta(\kappa_1)x_3/\varepsilon} &&\Bigl(pU^\varepsilon_{p-1,q}e^{-ih\bar{\zeta}x_3 + i\omega\bar{c}{66}\kappa_1\lambda x_3/(\bar{c}{44}\bar{\zeta}(\kappa_1))} \nonumber \ & &&-qU^\varepsilon_{p,q+1}e^{ih\bar{\zeta}(\kappa_1)x_3 - i\omega\bar{c}{66}\kappa_1\lambda x_3/(\bar{c}{44}\bar{\zeta}(\kappa_1))}\Bigr) \end{alignat}

\end{document}

Note the usage of \Bigl and \Bigr for two reasons:

  1. \bigg is too big;
  2. one should set the delimiters to opening and closing atoms.

In the first line \bigl and \bigr seems more than enough.

I used geometry because, according to your picture, you have a larger text width than the default.

enter image description here

egreg
  • 1,121,712
2

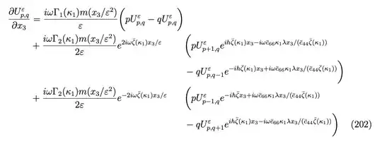
I propose this layout based on \multlined nested in aligned, using smaller parentheses, and the geometry package, to have more decent margins:

\documentclass{article}
\usepackage{geometry}
\usepackage{mathtools}
\usepackage{amssymb}

\begin{document}

\begin{equation} \begin{aligned}[b] \frac{\partial U^\varepsilon_{p,q}}{\partial x_3} &=\frac{i\omega\Gamma_1(\kappa_1) m(x_3/\varepsilon^2)}{\varepsilon}\mathrlap{\Bigl(pU^\varepsilon_{p,q} - qU^\varepsilon_{p,q}\Bigr)} \ &\begin{multlined} + \frac{i\omega\Gamma_2(\kappa_1) m(x_3/\varepsilon^2)}{2\varepsilon}e^{2i\omega\bar\zeta(\kappa_1)x_3/\varepsilon}\Bigl(pU^\varepsilon_{p+1,q}e^{ih\bar\zeta(\kappa_1)x_3 - i\omega\bar{c}{66}\kappa_1\lambda x_3/(\bar{c}{44}\bar{\zeta}(\kappa_1))} \[-1.5ex] -qU^\varepsilon_{p,q-1}e^{-ih\bar\zeta(\kappa_1)x_3 + i\omega\bar{c}{66}\kappa_1\lambda x_3/(\bar{c}{44}\bar{\zeta}(\kappa_1))}\Bigr) \end{multlined}\ &\begin{multlined}[b] + \frac{i\omega\Gamma_2(\kappa_1) m(x_3/\varepsilon^2)}{2\varepsilon}e^{-2i\omega\bar\zeta(\kappa_1)x_3/\varepsilon}\Bigl(pU^\varepsilon_{p-1,q}e^{-ih\bar{\zeta}x_3 + i\omega\bar{c}{66}\kappa_1\lambda x_3/(\bar{c}{44}\bar{\zeta}(\kappa_1))} \[-1.5ex] -qU^\varepsilon_{p,q+1}e^{ih\bar{\zeta}(\kappa_1)x_3 - i\omega\bar{c}{66}\kappa_1\lambda x_3/(\bar{c}{44}\bar{\zeta}(\kappa_1))}\Bigr) \end{multlined} \end{aligned} \end{equation}

\end{document}

enter image description here

Bernard
  • 271,350