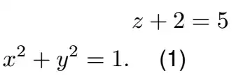
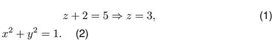
In this page Labelled in-line equation, a labelled in-line equation was defined. I want to know how to fix its counter if it appeared inside other math environments like align for example. Here is a sample code:
\begin{align}
z+2 = 5\only<1>{\nonumber}\onslide<2->{\Rightarrow z = 3,}\\
\inlineequation[eq:inline1]{x^2 + y^2 = 1.} \onslide<3>{\Rightarrow \text{bla bla bla}.}\only<1,2>{\nonumber}
\end{align}
I want to fix the counter of inlineequation at (1).



alignenvironment in the first place? Isn't the idea of having an inline equation to exactly not put it inside such environments? – Jasper Habicht Nov 10 '21 at 15:24