I tried to use the "systeme"-package while working with some systems of equations. It worked well enough as long as I was working with numbers and only a single set of variables (x_1 -> x_4), but as soon as I tried to work with formal multiplies (a_{11}, a_{12}, a_{13}, etc.) it told me "L'indice n'est pas un nombre entier !." ("the index is not a number entry" far as I can figure).
I can't imagine that such a system couldn't handle constants so there has to be a way around this but I can't figure it out nor find any other posts on the problem, which is why I'm coming to you for help. Here's what I had that caused the issue:
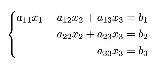
\systeme{
a_{11} x_1 + a_{12}x_2 + a_{13}x_3 = b_1,
a_{22} x_2 + a_{23}x_3 = b_2,
a_{33} x_3 = b_3}
I tried doing it a few different ways including switching x_1 - x_3 for x, y and z and using \system[xyz] with the same code otherwise but it refused to budge. I'm not sure of what I'm doing wrong and I can't find a good documentation for \systeme (I found out about the whole package here on StackExchange actually while looking for a way to align a linear system of equations efficiently).
