I am reading Apostol's Calculus, the upper and lower integrals appear with a shorter bar
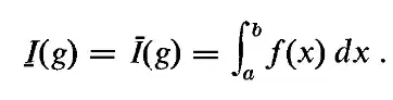
but this is not the case for \overline and \underline, the following pic was typeset with \overline and \underline
but this has two problems:
- the bar over letter I is too long, so is the bar under the letter I
- since the letter I is oblique, the bar doesn't move with the letter.
so, is there a way to typeset the upper and lower integrals as same as the book?


\barand\underbar. Examples of math accents are shown in https://tex.stackexchange.com/q/177000 – barbara beeton Nov 18 '21 at 01:51\baris ok for me. but I have to find some definition for\underbar, here is it\newcommand\munderbar[1]{\underaccent{\bar}{#1}}. Thanks. – yanpengl Nov 18 '21 at 02:18