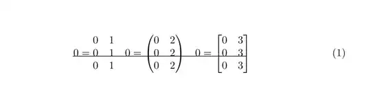
Is it possible to perfectly align the baseline of p/bNiceMatrix?
(The misalignment is quite obvious when you have a big matrix...)
MWE
\documentclass{article}
\usepackage{nicematrix}
\begin{document}
\begin{equation}
\rlap{\rule{57mm}{0.11pt}}0 = \begin{NiceMatrix}[baseline=2]
0 & 1 \
0 & 1 \
0 & 1 \
\end{NiceMatrix}\quad
0 = \begin{pNiceMatrix}[baseline=2]
0 & 2 \
0 & 2 \
0 & 2 \
\end{pNiceMatrix}\quad
0 = \begin{bNiceMatrix}[baseline=2]
0 & 3 \
0 & 3 \
0 & 3 \
\end{bNiceMatrix}
\end{equation}
\end{document}
Outcome
Thank you for all the replies.
Update: The patch suggested by @Ruixi Zhang solves the misalignment.
Update 2 (2021-11-26): There seems to be a side effect of the patch.
Test code
\usepackage{booktabs}
\usepackage{nicematrix}
...
\begin{table}[h]
\caption{A table}
\centering
\begin{NiceTabular}{ll}[cell-space-limits=3pt]
\toprule
a & b \\
\midrule
\Block{}{new\\line} & c \\
\bottomrule
\end{NiceTabular}
\end{table}



[baseline =...]. In this example, removing[baseline=2]produces the correct alignment while[baseline=1]does not. – Simon Dispa Nov 20 '21 at 14:24nicematrix). I was not aware of that strange behaviour of the keybaseline. At this time, I have no solution. I will investigate :-) – F. Pantigny Nov 20 '21 at 19:34array. So anything built uponarraywill carry this defect. See https://github.com/latex3/latex2e/issues/147 – Ruixi Zhang Nov 20 '21 at 23:13nicematrixto correct that bug. – F. Pantigny Nov 22 '21 at 13:25\Blockproblem as a new question. And, I can't reproduce it withnicematrixv6.4 2021/11/23 so a complete example is mostly welcome. – muzimuzhi Z Nov 28 '21 at 13:47