How can I add a second line to the condition in my piecewise function? I'm using the multlined environment, but it's producing quite an ugly result:
Ideally, I would want the two conditions right on top of each other, and without any indentation. The code is pretty ugly, but it's pretty much just:
\begin{cases}
..... & \begin{multlined}
.....\\
.....
\end{multlined}\\
..... & \begin{multlined}
.....\\
.....
\end{multlined}
\end{cases}
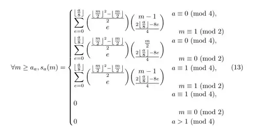
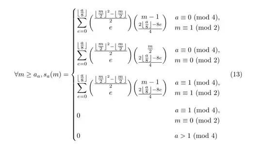
Here's the full code:
\begin{equation}
\forall m \geq a_{a}, s_{a}(m) = \begin{cases}
\mathlarger{\sum\limits_{e=0}^{\left\lfloor\tfrac{a}{8}\right\rfloor}{\tfrac{\left\lfloor\tfrac{m}{2}\right\rfloor^{2}-\left\lfloor\tfrac{m}{2}\right\rfloor}{2} \choose e}{m-1 \choose \tfrac{2\left\lfloor\tfrac{a}{8}\right\rfloor-8e}{4}}} &\begin{multlined}
a\equiv 0 \Mod{4},\\
m\equiv 1 \Mod{2}
\end{multlined}\\
\mathlarger{\sum\limits_{e=0}^{\left\lfloor\tfrac{a}{8}\right\rfloor}{\tfrac{\left\lfloor\tfrac{m}{2}\right\rfloor^{2}-\left\lfloor\tfrac{m}{2}\right\rfloor}{2} \choose e}{\tfrac{m}{2} \choose \tfrac{2\left\lfloor\tfrac{a}{8}\right\rfloor-8e}{4}}} &\begin{multlined}
a\equiv 0 \Mod{4},\\
m\equiv 0 \Mod{2}
\end{multlined}\\
\mathlarger{\sum\limits_{e=0}^{\left\lfloor\tfrac{a}{8}\right\rfloor}{\tfrac{\left\lfloor\tfrac{m}{2}\right\rfloor^{2}-\left\lfloor\tfrac{m}{2}\right\rfloor}{2} \choose e}{m-1 \choose \tfrac{2\left\lfloor\tfrac{a}{8}\right\rfloor-8e}{4}}} &\begin{multlined}
a\equiv 1 \Mod{4},\\
m\equiv 1 \Mod{2}
\end{multlined}\\
0 &\begin{multlined}
a\equiv 1 \Mod{4},\\
m\equiv 0 \Mod{2}
\end{multlined}\\
0 & a > 1 \Mod{4}
\end{cases}
\end{equation}

