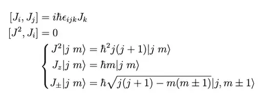
I am trying to align the following set of equations
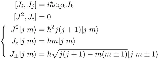
\documentclass[12pt]{article}
\usepackage[utf8]{inputenc}
\usepackage{amsmath}
\begin{document}
\begin{align}
[J_i,J_j] &= i\hbar\epsilon_{ijk}J_k \
[J^2,J_i] &= 0 \
&\left{\begin{aligned}
J^2\lvert j;m\rangle &= \hbar^2j(j+1)\lvert j;m\rangle \
J_z\lvert j;m\rangle &= \hbar m\lvert j;m\rangle \
J_\pm\lvert j;m\rangle &= \hbar\sqrt{j(j+1)-m(m\pm1)}\lvert j,m\pm1\rangle
\end{aligned}\right.
\end{align}
\end{document}
so that all the equals signs are aligned together and looks like the following.
A = B
C = D
{E = F
{G = H
{I = J
However, all of my attempts to do so have not worked, and the other posts on this forum are always just slightly off from what I am hoping for. I'd also like to do this generally (avoiding brute forcing it by inserting negative spacing and whatnot), but if that's all that can work I'm willing to use that as well.
Currently, the latex above compiles and provides the following image.

