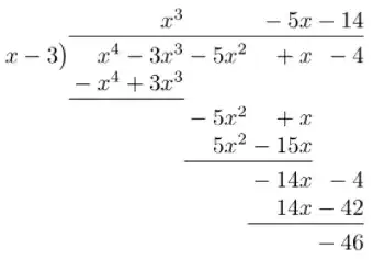
The polynom package can provide all the steps of a long division of polynomials if I just provide the polynomials:
\documentclass{article}
\usepackage{polynom}
\begin{document}
\polylongdiv{x^4-3x^3-5x^2+x-4}{x-3}
\end{document}
produces:
Are there packages or macros for matrices as well? For example, after we input a matrix and compile, the document shows the inverse, or the steps to find the REF of an augmented matrix.
Are there packages or macros for vectors as well? Dot product, cross product, linear combinations.
Are there packages or macros for deriatves and integrals?
