I use the command \MakeOuterQuote{"} in my preamble, which seems to raise an error when using quotation marks inside a tikzpicture. How can I solve this problem?
Zarko's solution is over here: Drawing the following diagram?
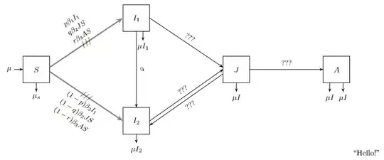
His code:
\documentclass[border=3mm]{standalone}
\usepackage{amsmath}
\usepackage{tikz}
\usetikzlibrary{arrows.meta,
positioning,
quotes}
\begin{document}
\begin{tikzpicture}[
node distance = 11mm and 33mm,
N/.style = {draw, minimum size=12mm, inner sep=0pt},
> = {Stealth[scale=0.8]},
every edge/.append style = {draw, ->},
every edge quotes/.append style = {font=\small\linespread{0.63}\selectfont,
inner sep=5pt, sloped}
]
\node [N] (A) {$S$};
\node [N,above right=of A] (B) {$I_1$};
\node [N,below right=of A] (C) {$I_2$};
\node [N,above right=of C] (D) {$J$};
\node [N,right=of D] (E) {$A$};
%
\draw [<-] (A) -- ++(-1,0) node[left] {$\mu$};
\draw [->] (A) -- ++(0,-1) node[below] {$\mu_s$};
\draw [->] ([xshift=3mm] B.south) -- ++(0,-0.4) node[below] {$\mu I_1$};
\draw [->] (C) -- ++(0,-1) node[below] {$\mu I_2$};
\draw [->] (D) -- ++(0,-1) node[below] {$\mu I$};
\draw [->] ([xshift=-3mm] E.south) -- ++(0,-0.4) node[below] {$\mu I$};
\draw [->] ([xshift=+3mm] E.south) -- ++(0,-0.4) node[below] {$\mu I$};
%
\draw ([yshift=+1mm] A.east)
edge [ultra thick, draw=gray,"\slash\slash\slash" anchor=center,
"$\begin{gathered}
p\beta_1 I_1\
q\beta_2 JS\
r\beta_3 AS
\end{gathered}$"] (B.west)
([yshift=-1mm] A.east)
edge [ultra thick, draw=gray,"\slash\slash\slash" anchor=center,
"$\begin{gathered}
(1-p)\beta_2 I_1\
(1-q)\beta_2 JS\
(1-r)\beta_3 AS
\end{gathered}$" '] (C.west)
(B) edge ["$\sigma$"] (C)
(B.east) edge ["$???$" ] ([yshift=+1mm] D.west)
( C.east) edge ["$???$" ] (D.west)
([yshift=-2mm] D.west) edge ["$???$" '] ([yshift=-2mm] C.east)
(D) edge ["$???$"] (E);
\end{tikzpicture}
\end{document}
Note that he uses quotation marks just before \begin{gathered}. I use the command \MakeOuterQuote{"} in my preamble because I use it for rhetorical questions, so this is where the error is occurring, how do I fix this?
