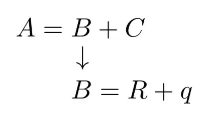
How can I use a downward arrow in a formulae as the below example:
There are some examples in other formats same as using $\underbrace{x}_{y}$ in equations but I could not find a desired style of an equation.
How can I use a downward arrow in a formulae as the below example:
There are some examples in other formats same as using $\underbrace{x}_{y}$ in equations but I could not find a desired style of an equation.
This could be done in a variety of ways as in the answers to this question, or you could use an align environment, using the B character. The \downarrow needs a small shift to the left as shown:
\documentclass{article}
\usepackage{amsmath}
\begin{document}
\begin{align}
A={}&B+C\
&\hspace{-.2ex}\downarrow\
&B=R+q
\end{align}
\end{document}
If you want to adjust the spacing around the arrow, you can add negative space after the appropriate lines:
\begin{align*}
A={}&B+C\\[-1ex]
&\hspace{-.2ex}\downarrow\\[-.5ex]
&B=R+q
\end{align*}
[-1ex] (or any length) after the double backslash in the first and second lines of the align* environment. You can have different lengths for each line if you want.
– Sandy G
Dec 14 '21 at 15:56
\vdotswithin from mathtools.
– Werner
Dec 14 '21 at 18:55