You can construct this in a similar manner to the methods described in a related question.
For example, adapting a prior answer and enhanced via another, you can do the following:
\documentclass{article}
\usepackage{amssymb}
\usepackage{amsmath}
\makeatletter
\newcommand{\rneq}{\mathrel{\vphantom{\neq}\mathpalette\do@rneq\relax}}
\newcommand{\do@rneq}[2]{%
\ooalign{%
$#1\m@th=$\cr
\hidewidth$#1\m@th\backslash$\hidewidth\cr
}%
}
\makeatother
\begin{document}
\Huge
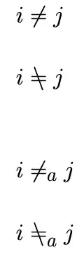
\begin{align*}
i & \neq j\\
\\
i & \rneq j\\
\\
\\
i & \neq_{a} j\\
\\
i & \rneq_{a} j\\
\end{align*}
\end{document}
This yields:

This has the advantage of working fine with most kerning and sub/super-scripting (as shown), and allowing easy adjustment, by changing the spacing within the \rneq command.
You also can view this example on Overleaf.
\newcommand{\flipneq}{\mathrel{\mathpalette\flipneq@\relax}}and\newcommand{\flipneq@}[2]{\reflectbox{$\m@th#1{\neq}$}}(requires the usual\makeatletterand\makeatother. – egreg Dec 14 '21 at 15:19