I am putting three \aligned environments inside an \equation, so that they are displayed side by side:
However, they have many lines and don't fit to the end of the page, and I am left with a large space at the bottom of the page. It would look much better if there was a page break in-between. I tried using \allowdisplaybreaks as suggested here, but it doesn't work.
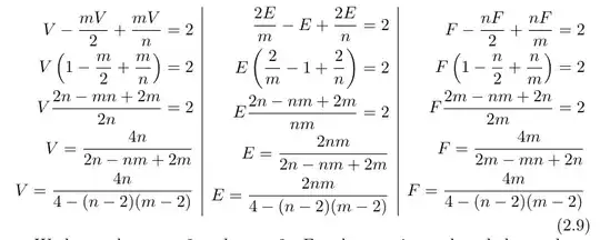
Is there a way to allow page breaks here, while keeping the multiple column structure? This is the code that generates the image above:
\documentclass{book}
\usepackage{amsmath}
\begin{document}
% lots of text here
\begin{equation}
\begin{aligned}
V - \frac{mV}{2} + \frac{mV}{n} = 2 \
V \left( 1 - \frac{m}{2} + \frac{m}{n} \right) = 2 \
V \frac{2n - mn + 2m}{2n} = 2 \
V = \frac{4n}{2n - nm + 2m} \
V = \frac{4n}{4 - (n-2)(m-2)}
\end{aligned}
\hspace{.5em}
\vline
\hspace{.5em}
\begin{aligned}
\frac{2E}{m} - E + \frac{2E}{n} = 2 \
E \left( \frac{2}{m} - 1 + \frac{2}{n} \right) = 2 \
E \frac{2n - nm + 2m}{nm} = 2 \
E = \frac{2nm}{2n - nm + 2m} \
E = \frac{2nm}{4 - (n - 2)(m - 2)}
\end{aligned}
\hspace{.5em}
\vline
\hspace{.5em}
\begin{aligned}
F - \frac{nF}{2} + \frac{nF}{m} = 2 \
F \left( 1 - \frac{n}{2} + \frac{n}{m} \right) = 2 \
F \frac{2m - nm + 2n}{2m} = 2 \
F = \frac{4m}{2m - mn + 2n} \
F = \frac{4m}{4 - (n - 2)(m - 2)}
\end{aligned}
\end{equation}
\end{document}
