I want to give a subset of equations, grouped together, in an eqnarray a big accolade to the right together with a short mathematical expression. What would be the best way to do so?
\begin{eqnarray*}
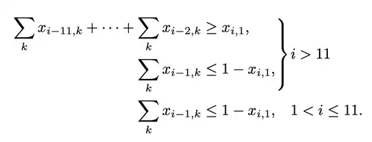
\sum_{k}x_{i - 11, k} + \dots + \sum_{k}x_{i - 2, k} &\ge& x_{i, 1}, \\
\sum_{k}x_{i - 1, k} &\le& 1 - x_{i, 1}, \\
\sum_{k}x_{i - 1, k} &\le& 1 - x_{i, 1}, \quad \quad 1 < i \le 11.
\end{eqnarray*}
An example of what I mean
If I should use something different to an eqnarray then I will do so.



eqnarrayto begin with. – egreg Dec 22 '21 at 11:23