The easiest way to do this may be using breqn package. The use of {}s is to override the default behavior of breqn and force line break at some point. Be warned, however, that this package has many incompatibily issues.
\documentclass{article}
\usepackage{breqn}
\begin{document}
\begin{dmath}
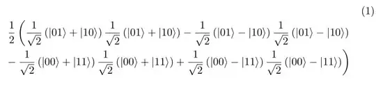
\frac{1}{2}\left( {\frac{1}{\sqrt{2}}\left( |01\rangle +|10\rangle \right) \frac{1}{\sqrt{2}}\left( |01\rangle +|10\rangle \right) -\frac{1}{\sqrt{2}}\left( |01\rangle -|10\rangle \right) \frac{1}{\sqrt{2}}\left( |01\rangle -|10\rangle \right)} -{\frac{1}{\sqrt{2}}\left( |00\rangle +|11\rangle \right) \frac{1}{\sqrt{2}}\left( |00\rangle +|11\rangle \right) +\frac{1}{\sqrt{2}}\left( |00\rangle -|11\rangle \right) \frac{1}{\sqrt{2}}\left( |00\rangle -|11\rangle \right)} \right)
\end{dmath}
\end{document}

This still can be much improved by taking all these 1/sqrt(2) out of the parentheses.
\begin{dmath}
\frac{1}{2\sqrt2}\Bigl[( |01\rangle +|10\rangle) (|01\rangle +|10\rangle) -(|01\rangle -|10\rangle) (|01\rangle -|10\rangle) -(|00\rangle +|11\rangle) (|00\rangle +|11\rangle) +( |00\rangle -|11\rangle) (|00\rangle -|11\rangle) \Bigr]
\end{dmath}

At this point, you can get rid of breqn and use much better alternatives, like multline, alligned, gathered, etc. Notice also the removal of all unnecessary \left .. \rights and the use of breakable brackets using \Bigl .. \Bigr.
\begin{multline}
\frac{1}{2\sqrt2}\Bigl[(|01\rangle +|10\rangle) ( |01\rangle +|10\rangle ) -( |01\rangle -|10\rangle) (|01\rangle -|10\rangle) \\ -( |00\rangle +|11\rangle) ( |00\rangle +|11\rangle) +( |00\rangle -|11\rangle) (|00\rangle -|11\rangle) \Bigr]
\end{multline}
