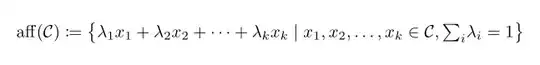
I have the following line of code :
$$
\operatorname{aff}(\mathcal{C})
\coloneqq
\{
\lambda_{1}x_{1}+\lambda_{2}x_{2}+\cdots+\lambda_{k}x_{k}
\mid
x_{1},x_{2},\ldots,x_{k}\in\mathcal{C},\sum_{i}\lambda_{i}=1
\}
$$
which should generate the following expression :
I wish to know if there is a way to replace the summation notation above and replace it with the smaller summation notation used in text mode i.e. the one below :
$\sum_{i}\lambda_{i}$
I attempted to use \text{$\sum_{i}$} in math mode but it did not work because it gave me the large summation notation.






\[ … \]preferable to$$? – egreg Dec 26 '21 at 16:31