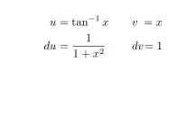
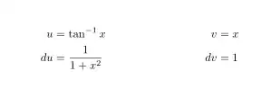
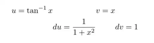
I have this code:
\begin{alignat*}
&& u=\tan^{-1}{x} &&v=x\\
&& du=\frac{1}{1+x^2} &&dv=1
\end{alignat*}
And I am trying to align the u with du and v with dv. I get errors and the overleaf produces this:
What am I doing wrong?
Edit: I have the following errors:
Line 21: missing number, treated as zero
Line 23: amsmath error: extra & on this line
Line 23: Misplaced \omit



