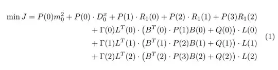
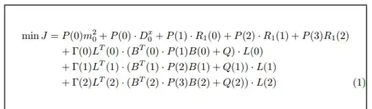
I just write the long equation and it is wider than the page, so LaTex doesn't carry over on the next line and i need it to do somehow.For example,how can I do it with my long equation:
\begin{equation}
min J = P(0)m_0^2+P(0) \cdot D_0^x+P(1)\cdot R_1(0)+P(2)\cdot R_1(1)+P(3)R_1(2)+
\Gamma (0) L^T(0)\cdot(B^T(0)\cdotP(1)B(0)+Q)\cdot L(0)+
\Gamma (1) L^T(1)\cdot(B^T(1)\cdot P(2)B(1)+Q(1))\cdot L(1)+
\Gamma (2) L^T(2)\cdot(B^T(2)\cdotP(3)B(2)+Q(2))\cdot L(2)
\end{equation}
The \newline cmd and \\ don't work


