I've got this document class and these math libraries:
\documentclass[12pt,twoside,a4paper]{book}
\usepackage{amsmath}
\usepackage{amsfonts}
\usepackage{cancel}
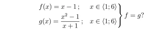
I'm trying to make something like this:

This is the code I am using right now:
\[ \left.
\begin{aligned}
f(x) &= x - 1; \qquad x \in \left< 1;6 \right> \\
g(x) &= \frac{x^2 - 1}{x + 1}; \quad ~ x \in \left< 1;6 \right>
\end{aligned}
\qquad \right} f = g? \]
I couldn't find an answer to what I would like to achieve. The right brace doesn't show up and I worked around the alignment of the function input definition so it appears right below it. I tried \begin{array}{ll}, but then it doesn't align along the equality sign and it makes the fraction smaller, which is not what I want (and the right brace still doesn't work). I don't actually need to find a better way to align the function input definition next to equality sign aligned equations of functions (although it would be nice), but that non-functioning right brace does indeed bug me.




\}not}to typeset } – David Carlisle Jan 09 '22 at 11:33mathtoolspackage (a superset of amsmath) defines thercasesanddrcasesenvironments, which simplifies the code. – Bernard Jan 09 '22 at 11:46