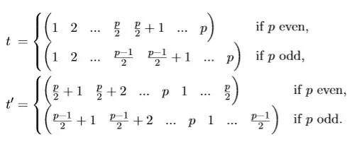
The following solution sets each column element inside an \eqmathbox[<tag>], using the same <tag> for each column. eqparbox then figures out which element with the same <tag> is the widest and sets them all in a box of this maximum-width. This allows things to line up horizontally.

\documentclass{article}
\usepackage{amsmath,eqparbox}
% https://tex.stackexchange.com/a/34412/5764
\makeatletter
\NewDocumentCommand{\eqmathbox}{o O{c} m}{%
\IfValueTF{#1}
{\def\eqmathbox@##1##2{\eqmakebox[#1][#2]{$##1##2$}}}
{\def\eqmathbox@##1##2{\eqmakebox{$##1##2$}}}
\mathpalette\eqmathbox@{#3}
}
\makeatother
\begin{document}
Original nonalignment:
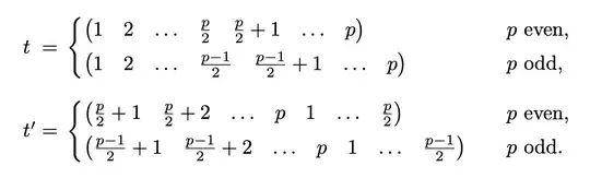
\begin{flalign}
t\hphantom{^{\prime}}&=
\begin{cases}
\begin{pmatrix} 1 & 2 & \cdots & \frac{p}{2} & \frac{p}{2} + 1 & \cdots & p \end{pmatrix} & \text{if $p$ even,} \
\begin{pmatrix} 1 & 2 & \cdots & \frac{p - 1}{2} & \frac{p - 1}{2} + 1 & \cdots & p \end{pmatrix} & \text{if $p$ odd,}
\end{cases}&&\
t^{\prime}&=
\begin{cases}
\begin{pmatrix} \frac{p}{2} + 1 & \frac{p}{2} + 2 & \cdots & p & 1 & \cdots & \frac{p}{2} \end{pmatrix} & \text{if $p$ even,} \
\begin{pmatrix} \frac{p-1}{2} + 1 & \frac{p - 1}{2} + 2 & \cdots & p & 1 & \cdots & \frac{p - 1}{2} \end{pmatrix} & \text{if $p$ odd.}
\end{cases}&&
\end{flalign}
Updated horizontal alignment:
\begingroup
\setlength{\arraycolsep}{0.5\arraycolsep}%
\begin{flalign}
t\hphantom{^{\prime}} &=
\begin{cases}
\begin{pmatrix}
\eqmathbox[c1]{1} & \eqmathbox[c2]{2} & \eqmathbox[c3]{\cdots} & \eqmathbox[c4]{\frac{p}{2}} &
\eqmathbox[c5]{\frac{p}{2} + 1} & \eqmathbox[c6]{\cdots} & \eqmathbox[c7]{p}
\end{pmatrix} & \text{if $p$ even,} \
\begin{pmatrix}
\eqmathbox[c1]{1} & \eqmathbox[c2]{2} & \eqmathbox[c3]{\cdots} & \eqmathbox[c4]{\frac{p - 1}{2}} &
\eqmathbox[c5]{\frac{p - 1}{2} + 1} & \eqmathbox[c6]{\cdots} & \eqmathbox[c7]{p}
\end{pmatrix} & \text{if $p$ odd,}
\end{cases}&& \
t^{\prime} &=
\begin{cases}
\begin{pmatrix}
\eqmathbox[c1]{\frac{p}{2} + 1} & \eqmathbox[c2]{\frac{p}{2} + 2} & \eqmathbox[c3]{\cdots} & \eqmathbox[c4]{p} &
\eqmathbox[c5]{1} & \eqmathbox[c6]{\cdots} & \eqmathbox[c7]{\frac{p}{2}}
\end{pmatrix} & \text{if $p$ even,} \
\begin{pmatrix}
\eqmathbox[c1]{\frac{p - 1}{2} + 1} & \eqmathbox[c2]{\frac{p -1}{2} + 2} & \eqmathbox[c3]{\cdots} & \eqmathbox[c4]{p} &
\eqmathbox[c5]{1} & \eqmathbox[c6]{\cdots} & \eqmathbox[c7]{\frac{p - 1}{2}}
\end{pmatrix} & \text{if $p$ odd.}
\end{cases}&&
\end{flalign}
\endgroup
\end{document}
An alternative would be to set the elements in a fixed-width column array. It's just convenient to let TeX figure out the widths of each column.
Bigl\lfloor\frac p2\Bigr\rfloor? – Bernard Jan 14 '22 at 17:11