I would like to define a command \laxcolim which renders the same as \varinjlim does, except with two "l"'s instead of one. But I still want the usual \varinjlim command to be available to me. (Similarly, I want a command \laxlim which is like \varprojlim but with an extra "l".)
I tried modifying this solution to the following:
\documentclass[ a4paper, leqno]{article}
\usepackage[utf8]{inputenc}
\usepackage[T1]{fontenc}
\usepackage{lmodern}
\usepackage{amssymb, amsfonts, mathtools}
\makeatletter\def\varlim@#1#2{%
\vtop{\m@th\ialign{##\cr
\hfil$#1\operator@font llim$\hfil\cr
\noalign{\nointerlineskip\kern1.5\ex@}#2\cr
\noalign{\nointerlineskip\kern-\ex@}\cr}}%
}
\makeatother
\begin{document}
[ \varinjlim( E_{α},f_{α,β}),\quad\varprojlim( E_{α},f_{β,α}),]%
\end{document}
The result looks great except that it changes the \varinjlim command itself, whereas I need both the usual \varinjlim command and my modified one to be available to me.
To address this issue, I made the following changes. I don't actually know what I'm doing, but the intention is to define a new command \varllim rather than overwriting the \varlim command, and then to copy the usual definition of \varinjlim, but with \varllim used in place of \varlim.
\documentclass[ a4paper, leqno]{article}
\usepackage[utf8]{inputenc}
\usepackage[T1]{fontenc}
\usepackage{lmodern}
\usepackage{amssymb, amsfonts, mathtools}
\makeatletter\def\varllim@#1#2{%
\vtop{\m@th\ialign{##\cr
\hfil$#1\operator@font llim$\hfil\cr
\noalign{\nointerlineskip\kern1.5\ex@}#2\cr
\noalign{\nointerlineskip\kern-\ex@}\cr}}%
}
\makeatother
\def\laxcolim{%
\mathop{\mathpalette\varllim@{\rightarrowfill@\textstyle}}\nmlimits@
}
\def\laxlim{%
\mathop{\mathpalette\varllim@{\leftarrowfill@\textstyle}}\nmlimits@
}
\begin{document}
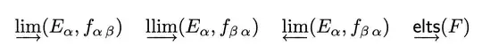
[ \varinjlim( E_{\alpha},f_{\alpha,\beta}),\quad\varprojlim( E_{\alpha},f_{\beta,\alpha}),]%
[ \laxcolim( E_{\alpha},f_{\alpha,\beta}),\quad\laxlim( E_{\alpha},f_{\beta,\alpha}),]%
\end{document}
I get an error saying that that \varllim is an undefined control sequence. I think I am missing something very basic!


\NewCommandCopy, but the second solution works great for me. Thanks! – tcamps Jan 15 '22 at 19:26old-arrowssolution is only relevant with Computer Modern. For other fonts, you might want to mention this other answer and this update to it. – Gaussler Dec 29 '22 at 14:44