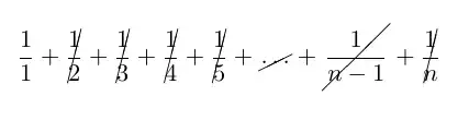
How do I cross out maths to show they vanish with evenly oriented diagonal lines (i.e., all lines parallel?)
I don't like how the crossing lines appear due to size of the expressions. It doesn't matter if the expressions are wide or narrow especially in fractions. Is there a way to modify the diagonal lines? Or is there a better package or option?
Here is my MWE:
\documentclass{article}
\usepackage{tikz}
\usepackage[makeroom]{cancel}
\begin{document}
[
\frac{1}{1} + \cancel{\frac{1}{2}} + \cancel{\frac{1}{3}} + \cancel{\frac{1}{4}} + \cancel{\frac{1}{5}} + \cancel{\dots} + \cancel{\frac{1}{n-1}} + \cancel{\frac{1}{n}}
]
\end{document}

