3
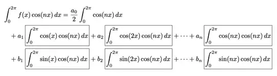
\[
  \begin{split}\int_{0}^{2\pi} &f(x)\cos(nx)dx =\frac{a_0}{2}\int_{0}^{2\pi}\cos(nx)dx\\
  &+a_1\boxed{\int_{0}^{2\pi}cos(x)\cos(nx)dx}+a_2 \boxed{\int_{0}^{2\pi}\cos(2x)\cos(nx)dx}+...\\
  &+a_n\boxed{\int_{0}^{2\pi}\cos^2(nx)dx} \\
  &+ b_1\boxed{\int_{0}^{2\pi}\sin(x)\cos(nx)dx} +b_2\boxed {\int_{0}^{2\pi}\sin(2x)\cos(nx)dx} + ...\\ &+b_n\boxed{\int_{0}^{2\pi}\sin(nx)\cos(nx)dx} 
  \end{split}
\]

Hi, I am still new in Latex and want some help.

If you run this code, you see a_n and b_n go to the second line. I want to keep a_1,a_2+...+a_n in one line so do b_1 and b_2,b_n.

I want to arrange them properly. I am still confused how to use & \ and split and other functions to arrange any equations.

your help is greatly appreciated

Zarko
  • 296,517
Riddle72
  • 107
  • 3

2 Answers2

4

I'd like to suggest that you not use a split environment (or its close sibling, the aligned environment). Instead, I'd recommend you employ a multline* environment, especially since the integral expressions vary considerable in width, making it unappealing to employ an align* env.

The following screenshots shows solutions that employ a multline* and an align* environment. Note that I've tried to save some (horizontal) whitespace by a triple negative whitespace after all \int terms and changing \boxed{...} to `\boxed{!...!}.

enter image description here

\documentclass{article}
\usepackage[a4paper,margin=2.5cm]{geometry} % set page margins as needed
\usepackage{amsmath}

\begin{document}

\begin{multline*} \int_{0}^{2\pi}! f(x)\cos(nx),dx = \frac{1}{2}a_0!\int_{0}^{2\pi}!!!\cos(nx),dx\

  • a_1\boxed{!\int_{0}^{2\pi}!!!\cos(x)\cos(nx),dx!}
  • a_2 \boxed{!\int_{0}^{2\pi}!!!\cos(2x)\cos(nx),dx!}
  • \dots
  • a_n\boxed{!\int_{0}^{2\pi}!!!\cos^2(nx),dx!} \
  • b_1\boxed{!\int_{0}^{2\pi}!!!\sin(x)\cos(nx),dx!}
  • b_2\boxed {!\int_{0}^{2\pi}!!!\sin(2x)\cos(nx),dx!}
  • \dots
  • b_n\boxed{!\int_{0}^{2\pi}!!!\sin(nx)\cos(nx),dx!}

\end{multline*}

\begin{align*} \int_{0}^{2\pi}! f(x)&\cos(nx),dx = \frac{1}{2}a_0!\int_{0}^{2\pi}!!!\cos(nx),dx\ &+ a_1\boxed{!\int_{0}^{2\pi}!!!\cos(x)\cos(nx),dx!}

  • a_2 \boxed{!\int_{0}^{2\pi}!!!\cos(2x)\cos(nx),dx!}
  • \dots
  • a_n\boxed{!\int_{0}^{2\pi}!!!\cos^2(nx),dx!} \

&+ b_1\boxed{!\int_{0}^{2\pi}!!!\sin(x)\cos(nx),dx!}

  • b_2\boxed {!\int_{0}^{2\pi}!!!\sin(2x)\cos(nx),dx!}
  • \dots
  • b_n\boxed{!\int_{0}^{2\pi}!!!\sin(nx)\cos(nx),dx!}

\end{align*}

\end{document}

Sebastiano
  • 54,118
Mico
  • 506,678
3

You need some more generous text width, here obtained with geometry.

I'd emphasize the symmetries, using an alignedat enviroment to align the coefficients.

\documentclass{article}
\usepackage[a4paper]{geometry}
\usepackage{amsmath}

\newcommand{\diff}{\mathop{}!d}

\begin{document}

[ \newcommand{\rboxed}[1]{,\boxed{!#1!}}% local command \begin{split} &\int_{0}^{2\pi}f(x)\cos(nx)\diff x =\frac{a_0}{2}\int_{0}^{2\pi}\cos(nx)\diff x \ &\quad\begin{alignedat}[t]{7} &+a_1&&\rboxed{\int_{0}^{2\pi}\cos(x)\cos(nx)\diff x} &&+a_2&&\rboxed{\int_{0}^{2\pi}\cos(2x)\cos(nx)\diff x} &&+\dotsb &&+a_n&&\rboxed{\int_{0}^{2\pi}\cos(nx)\cos(nx)\diff x} \ &+b_1&&\rboxed{\int_{0}^{2\pi}\sin(x)\cos(nx)\diff x} &&+b_2&&\rboxed{\int_{0}^{2\pi}\sin(2x)\cos(nx)\diff x} &&+\dotsb &&+b_n&&\rboxed{\int_{0}^{2\pi}\sin(nx)\cos(nx)\diff x} \end{alignedat} \end{split} ]

\end{document}

enter image description here

We can improve by making the boxes into equal width by adding the difference in width between “sin” and “cos”:

\documentclass{article}
\usepackage[a4paper]{geometry}
\usepackage{amsmath}

\newcommand{\diff}{\mathop{}!d}

\begin{document}

[ \newcommand{\rboxed}[1]{,\boxed{!#1!}}% local command \settowidth{\dimen8}{$\cos$}% \settowidth{\dimen2}{$\sin$}% \addtolength{\dimen8}{-\dimen2}% \begin{split} &\int_{0}^{2\pi}f(x)\cos(nx)\diff x =\frac{a_0}{2}\int_{0}^{2\pi}\cos(nx)\diff x \ &\quad\begin{alignedat}[t]{7} &+a_1&&\rboxed{\int_{0}^{2\pi}\cos(x)\cos(nx)\diff x} &&+a_2&&\rboxed{\int_{0}^{2\pi}\cos(2x)\cos(nx)\diff x} &&+\dotsb &&+a_n&&\rboxed{\int_{0}^{2\pi}\cos(nx)\cos(nx)\diff x} \ &+b_1&&\rboxed{\int_{0}^{2\pi}\sin(x)\cos(nx)\diff x \kern\dimen8} &&+b_2&&\rboxed{\int_{0}^{2\pi}\sin(2x)\cos(nx)\diff x \kern\dimen8} &&+\dotsb &&+b_n&&\rboxed{\int_{0}^{2\pi}\sin(nx)\cos(nx)\diff x \kern\dimen8} \end{alignedat} \end{split} ]

\end{document}

enter image description here

egreg
  • 1,121,712