I am solving integrals using u-substitution. However, when I compile the code the box where it shows the substitution is not placed in the right place. And, when I continue to solve the problem another integral with a new boundary is typed inside the box.
\documentclass[12pt]{article}
\usepackage{authblk}
\usepackage{setspace}
\doublespacing% For double space
\usepackage{subeqnarray}
\usepackage{graphicx,epstopdf}
\usepackage[framed , numbered]{matlab-prettifier}% For MATLAB code
\usepackage{amssymb}
\usepackage{amsmath}
\usepackage{amsthm}
\usepackage{xcolor}
\usepackage{bigstrut}
\usepackage{tikz}
\renewcommand{\qedsymbol}{$\blacksquare$}
\usepackage{nccmath}% For adding Mathematical commands
\usepackage[english]{babel}
\usepackage{blindtext}
\usepackage[a4paper,margin=2.5cm]{geometry} % set page margins as needed
\newcommand{\diff}{\mathop{}!d}
\newcommand{\innerp}[2]{\left\langle #1 \vert #2 \right\rangle}
\usetikzlibrary{tikzmark,calc}
\begin{document}
\begin{proof}
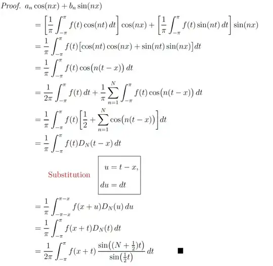
$$ a_n\cos(nx)+b_n\sin(nx) $$
$$ = \Big[\frac{1}{\pi}\int_{-\pi}^{\pi}f(t)\cos(nt)dt\Big]\cos(nx)+\Big[\frac{1}{\pi}\int_{-\pi}^{\pi}f(t)\sin(nt)dt\Big]\sin(nx) $$
$$ = \frac{1}{\pi}\int_{-\pi}^{\pi}f(t)\Big[\cos(nt)\cos(nx)+\sin(nt)\sin(nx)\Big]dt $$
$$ = \frac{1}{\pi}\int_{-\pi}^{\pi}f(t)\cos\big(n(t-x)\big)dt $$
$$ = \frac{1}{2\pi}\int_{-\pi}^{\pi}f(t)dt+\frac{1}{\pi}\sum_{n=1}^{N}\int_{-\pi}^{\pi}f(t)\cos\big(n(t-x)\big)dt $$
$$ = \frac{1}{\pi}\int_{-\pi}^{\pi}f(t)\Big[\frac{1}{2}+\sum_{n=1}^{N}\cos\big(n(t-x)\big)\Big]dt $$
\begin{align}
= \frac{1}{\pi}\displaystyle\int_{-\pi}^{\pi}f(t)D_N(t-x)dt
\end{align}
\begin{tikzpicture}[overlay, remember picture]
\coordinate (x) at ($(pic cs:eqt)+(1,0)$);
\draw (x)--($(x)+(3,0)$);
\draw[red] (x) node[above right] {Substitution};
\draw ($(x)+(3,0)$) node[right,draw,fill=white!50] {%
$\begin{aligned}
u&=t-x,\
du&= dt
\end{aligned}$};
\end{tikzpicture}
$$ = \frac{1}{\pi}\int_{-\pi-x}^{\pi-x}f(x+u)D_N(u)du = \frac{1}{\pi}\int_{-pi}^{pi}f(x+t)D_N(t)dt
$$
$$ = \frac{1}{2\pi}\int_{-\pi}^{\pi}f(x+t)\frac{\sin\big((N+\frac{1}{2})t\big)}{\sin(\frac{1}{2}t)}dt $$
\end{proof}
\end{document}
